中文名称:聚丙烯酸正丁酯-聚丙烯酸叔丁酯
英文简称:PnBuA-PtBuA
英文全称:Poly(n-butyl acrylate)-b-poly(t-butyl acrylate)
英文别名:Poly(n-butyl acrylate)-block-poly(tert-butyl acrylate)
CAS号:n/a; PnBuA: 9003-49-0; PtBuA: 25232-27-3
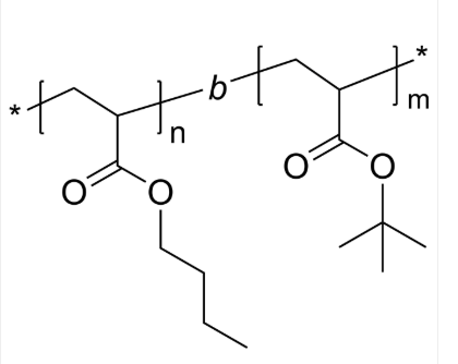
分子式:[C7H12O2]n [C7H12O2]m
主链结构:二嵌段共聚物
主要成分:PnBuA
亲疏水性:疏水
产品类型:常规高分子
荧光/发光:无
外观/形态:固态粉末或颗粒(以实际外观为准)
纯度:≤ 100%
结构式:

包装: 瓶装
用途:用于医学研究,药物释放,纳米技术和新材料研究。
品牌:齐岳生物
产地:西安
供应商:西安齐岳生物科技有限公司
温馨提示:仅用于科研实验,不能用于人体!
温馨提示:仅用于科研实验,不能用于人体!
西安齐岳生物科技有限公司提供PLGA,PCL,PAMAM,PAA等聚合物的定制合成,提供基本活性基团修饰,等等。
相关产品:
Poly(acrylic acid)-graft-poly(ethylene oxide)
PAA-g-PEG/PAA-g-PEO 聚丙烯酸-聚乙二醇 接枝共聚物
Poly(acrylic acid)-graft-poly(ethylene oxide), grafting on amide
PMMA-g-PEG/PMMA-g-PEO 聚甲基丙烯酸甲酯-聚乙二醇 接枝共聚物
Poly(methyl methacrylate)-graft-poly(ethylene oxide)
PMMAIBEMAran-g-PS 聚甲基丙烯酸甲酯共甲基丙烯酸异丁基乙酯-聚苯乙烯 接枝共聚物
PEO-b-PSSO3Na 聚乙二醇-聚(4-苯乙烯磺酸钠) 二嵌段共聚物
盐 Poly(ethylne oxide)-b-poly(4-styrene sulfonic acid sodium
PS-g-PAA 聚苯乙烯-聚丙烯酸 接枝共聚物




齐岳微信公众号
官方微信
库存查询