中文名称:聚苯乙烯-聚乙二醇-RAFT
英文简称:PS-PEO-RAFT
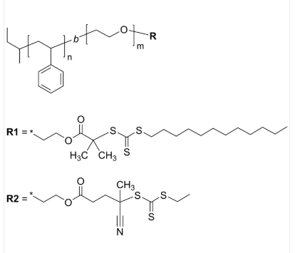
英文全称:Poly(styrene)-b-poly(ethylene oxide), ω-RAFT-terminated diblock copolymer
CAS号:n/a; PS: 9003-53-6; PEG: 25322-68-3
分子式:[C8H8]n [C2H4O]m
主链结构:二嵌段共聚物
主要成分:PEO/PEG
亲疏水性:两亲性
产品类型:RAFT试剂(大分子引发剂)
荧光/发光:无
外观/形态:固态粉末或颗粒(以实际外观为准)
纯度:≤ 100%
结构式:

包装: 瓶装
用途:用于医学研究,药物释放,纳米技术和新材料研究。
品牌:齐岳生物
产地:西安
供应商:西安齐岳生物科技有限公司
温馨提示:仅用于科研实验,不能用于人体!
西安齐岳生物科技有限公司提供PLGA,PCL,PAMAM,PAA等聚合物的定制合成,提供基本活性基团修饰,等等。
相关产品:
7-Arm PBd 7臂星形-聚丁二烯 Poly(1,4-butadiene), 7-arm star polymer / Core: tetrakis(2-silylethyl)silane
8-Arm PBd 8臂星形-聚丁二烯 Poly(1,4-butadiene), 8-arm star polymer / Core: tetrakis(2-silylethyl)silane
multi-Arm PBd 多臂星形-聚丁二烯 Poly(1,4-butadiene), star polymer with proton-containing arms
H-type PEO/PEG 4臂H形-聚乙二醇 H-type copolymer: Poly(ethylene oxide), 4 arms / Core: poly(butadiene)




齐岳微信公众号
官方微信
库存查询