中文名称:聚(氘化苯乙烯-d8)-聚(4-乙烯基吡啶)
英文简称:dPS-P4VP
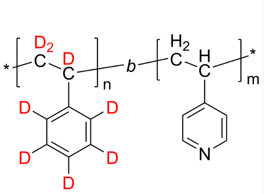
英文全称:Poly(deuterated styrene-d8)-b-poly(4-vinyl pyridine)
英文别名:Poly(styrene-d8-block-4-vinylpyridine)
CAS号:n/a; PS-d8: 27732-42-9; PS: 9003-53-6; P4VP: 25232-41-1
分子式:[C8D8]n[C7H7N]m
主链结构:二嵌段共聚物
主要成分:P4VP
亲疏水性:两亲性
产品类型:同位素氘化高分子
荧光/发光:无
外观/形态:固态粉末或颗粒(以实际外观为准)
纯度:≤ 100%
结构式:

包装: 瓶装
用途:用于医学研究,药物释放,纳米技术和新材料研究。
品牌:齐岳生物
产地:西安
供应商:西安齐岳生物科技有限公司
温馨提示:仅用于科研实验,不能用于人体!
齐岳生物可以提供各种不同的聚合物的嵌段共聚物,有均聚物,嵌段共聚物,星形聚合物等。
相关产品:
PS(acetylene)-P2VP-PtBuMAnBuMAran 聚苯乙烯-聚(2-乙烯基吡啶)-聚(甲基丙烯酸叔丁酯-co-甲基丙烯酸正丁酯) ABC三嵌段共聚物
PDMS-PAA 聚二甲基硅氧烷-聚丙烯酸 两亲性二嵌段共聚物
Poly(dimethylsiloxane)-b-poly(acrylic acid)
PDMS-PEO 聚二甲基硅氧烷-聚乙二醇 两亲性二嵌段共聚物
Poly(dimethylsiloxane)-b-poly(ethylene oxide)
PDMS-PMAA 聚二甲基硅氧烷-聚甲基丙烯酸 两亲性二嵌段共聚物
Poly(dimethylsiloxane)-b-poly(methacrylic acid)




齐岳微信公众号
官方微信
库存查询