中文名称:聚(2,5-二(2'-乙基己氧基)-1,4-对苯撑乙烯)-聚(氘化1,4-丁二烯-d6)
英文简称:PDEHPPV-dPBd
英文全称:Poly(2,5-di(2'-ethylhexyloxy)-1,4-phenylenevinylene)-b-poly(deuterated 1,4-butadiene-d6)
CAS号:n/a; PBd: 9003-17-2
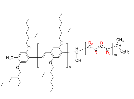
分子式:C23H39O2[C24H38O2]nCHOH[C4D6]mC3H7
主链结构:二嵌段共聚物
主要成分:PDEHPV/PDEHPPV
亲疏水性:疏水
产品类型:同位素氘化高分子
荧光/发光:无
外观/形态:固态粉末或颗粒(以实际外观为准)
纯度:≤ 100%
结构式:

包装: 瓶装
用途:用于医学研究,药物释放,纳米技术和新材料研究。
品牌:齐岳生物
产地:西安
供应商:西安齐岳生物科技有限公司
温馨提示:仅用于科研实验,不能用于人体!
齐岳生物可以提供各种不同的聚合物的嵌段共聚物,有均聚物,嵌段共聚物,星形聚合物等。
相关产品:
PSSO3Na-PMB 聚(4-苯乙烯磺酸钠)-聚(2-甲基丁烯) 两亲性二嵌段共聚物
PSSO3H-PS 聚(4-苯乙烯磺酸)-聚苯乙烯 两亲性二嵌段共聚物
Poly(4-styrene sulfonic acid)-b-poly(styrene)
PSSO3Na-PS 聚(4-苯乙烯磺酸钠)-聚苯乙烯 两亲性二嵌段共聚物
盐 Poly(4-styrene sulfonic acid sodium salt)-b-poly(styrene)
PMI-PAA 聚(α-亚甲基茚烷)-聚丙烯酸 两亲性二嵌段共聚物
Poly(α-methylene indane)-b-poly(acrylic acid)




齐岳微信公众号
官方微信
库存查询