PS-PEO13C 聚苯乙烯-b-聚(乙二醇-共-碳13标记乙二醇) 二嵌段共聚物 PS-PEG13C
发布时间:2022-12-27  作者:LYQ  分享到:
中文名称:聚苯乙烯-b-聚(乙二醇-共-碳13标记乙二醇)
英文简称:PS-PEO13C
英文全称:Poly(styrene)-b-poly([ethylene oxide]-co-[13C-labelled ethylene oxide])
CAS号:n/a; PEO: 25322-68-3; PS: 9003-53-6
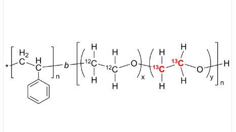
分子式:[C8H8]n[(C2H4O)x(13C2H4O)y]mH
主链结构:二嵌段共聚物
主要成分:PEO/PEG
亲疏水性:两亲性
产品类型:同位素碳13标记高分子
荧光/发光:无
外观/形态:固态粉末或颗粒(以实际外观为准)
纯度:≤ 100%
结构式:

包装: 瓶装
用途:用于医学研究,药物释放,纳米技术和新材料研究。
品牌:齐岳生物
产地:西安
供应商:西安齐岳生物科技有限公司
温馨提示:仅用于科研实验,不能用于人体!
齐岳生物可以提供各种不同的聚合物的嵌段共聚物,有均聚物,嵌段共聚物,星形聚合物等。
相关产品:
盐 Poly(methyl methacrylate)-b-poly(acrylic acid sodium salt)
PMMA-PDMA 聚甲基丙烯酸甲酯-聚(N,N-二甲基丙烯酰胺) 两亲性二嵌段共聚物
Poly(methyl methacrylate)-b-poly(N,N-dimethyl acrylamide
PMMA-PMAA 聚甲基丙烯酸甲酯-聚甲基丙烯酸 两亲性二嵌段共聚物




齐岳微信公众号
官方微信
库存查询