AK-PLE 聚L谷氨酸钠盐-炔基 聚氨基酸 端基修饰 Poly(L-glutamic acid sodium salt) Alkyne
发布时间:2022-12-28     作者:LYQ   分享到:
中文名称:聚L谷氨酸钠盐-炔基
英文简称:AK-PLE
英文全称:Poly(L-glutamic acid sodium salt) Alkyne
CAS号:n/a; PLE: 26247-79-0
主链结构:直链均聚物
主要成分:PLE
亲疏水性:亲水
产品类型:聚氨基酸
荧光/发光:无
外观/形态:固态粉末或颗粒(以实际外观为准)
纯度:90-100%
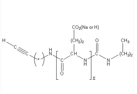
结构式:

包装: 瓶装
用途:用于医学研究,药物释放,纳米技术和新材料研究。
品牌:齐岳生物
产地:西安
供应商:西安齐岳生物科技有限公司
温馨提示:仅用于科研实验,不能用于人体!
齐岳生物可以提供各种不同的聚合物的嵌段共聚物,有均聚物,嵌段共聚物,星形聚合物等。
相关产品:
Poly(dimethylsiloxane)-b-poly(n-butyl acrylate)
PDMS-PtBuA 聚二甲基硅氧烷-聚丙烯酸叔丁酯 二嵌段共聚物
Poly(dimethylsiloxane)-b-poly(tert-butyl acrylate)
PDMS-PHEA 聚二甲基硅氧烷-聚(丙烯酸2-羟乙基酯) 两亲性二嵌段共聚物
Poly(dimethylsiloxane)-b-poly(2-hydroxyethyl acrylate)




齐岳微信公众号
官方微信
库存查询