PSSO3H_ionomer 聚(苯乙烯-共-4-苯乙烯磺酸) 两性离子无规共聚物 Poly(styrene-co-4-styrene sulfonic acid)
发布时间:2023-01-03     作者:LYQ   分享到:
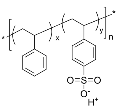
中文名称:聚(苯乙烯-共-4-苯乙烯磺酸)
英文简称:PSSO3H_ionomer
英文全称:Poly(styrene-co-4-styrene sulfonic acid)
英文别名:Poly(styrene-co-4-styrenesulfonic acid)
CAS号:n/a; PS: 9003-53-6; PSSO3H: 28210-41-5
分子式:[(C8H8)x(C8H8O3S)y]n
主链结构:无规共聚物
主要成分:PSSO3H/PSSA
亲疏水性:两亲性
产品类型:两性离子聚合物
荧光/发光:无
外观/形态:固态粉末或颗粒(以实际外观为准)
纯度:≤ 100%
结构式:

包装: 瓶装
用途:用于医学研究,药物释放,纳米技术和新材料研究。
品牌:齐岳生物
产地:西安
供应商:西安齐岳生物科技有限公司
温馨提示:仅用于科研实验,不能用于人体!
齐岳生物可以提供各种不同的聚合物的嵌段共聚物,有均聚物,嵌段共聚物,星形聚合物等。
相关产品:
P2VP-PACN 聚(2-乙烯基吡啶)-聚丙烯腈 二嵌段共聚物
Poly(2-vinyl pyridine)-b-poly(acrylonitrile)
P2VP-PCL 聚(2-乙烯基吡啶)-聚己内酯 两亲性二嵌段共聚物
Poly(2-vinyl pyridine)-b-poly(ε-caprolactone)
P2VP-PDMS 聚(2-乙烯基吡啶)-聚二甲基硅氧烷 两亲性二嵌段共聚物
Poly(2-vinyl pyridine)-b-poly(dimethylsiloxane)




齐岳微信公众号
官方微信
库存查询