PtBuAAAran 聚丙烯酸叔丁酯共丙烯酸 无规共聚物 Poly(tert-butyl acrylate-co-acrylic acid), random
发布时间:2023-01-04     作者:LYQ   分享到:
中文名称:聚丙烯酸叔丁酯共丙烯酸
英文简称:PtBuAAAran
英文全称:Poly(tert-butyl acrylate-co-acrylic acid), random
CAS号:n/a; PtBuA: 25232-27-3; PAA: 9003-01-4
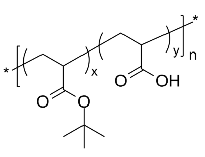
分子式:[(C7H12O2)x(C3H4O2)y]n
主链结构:无规共聚物
主要成分:PAA
亲疏水性:亲水
产品类型:常规高分子
荧光/发光:无
外观/形态:固态粉末或颗粒(以实际外观为准)
纯度:≤ 100%
结构式:

包装: 瓶装
用途:用于医学研究,药物释放,纳米技术和新材料研究。
品牌:齐岳生物
产地:西安
供应商:西安齐岳生物科技有限公司
温馨提示:仅用于科研实验,不能用于人体!
齐岳生物可以提供各种不同的聚合物的嵌段共聚物,有均聚物,嵌段共聚物,星形聚合物等。
相关产品:
P4VP-PDMS 聚(4-乙烯基吡啶)-聚二甲基硅氧烷 两亲性二嵌段共聚物
Poly(4-vinyl pyridine)-b-poly(dimethylsiloxane)
P4VP-PMMA 聚(4-乙烯基吡啶)-聚甲基丙烯酸甲酯 两亲性二嵌段共聚物
Poly(4-vinyl pyridine)-b-poly(methyl methacrylate)




齐岳微信公众号
官方微信
库存查询