文名:二苯基环辛炔(二苯并环辛炔)-二硫键-马来酰亚胺
二苯并环辛炔-SS-马来酰亚胺
英文:DBCO-SS-Maleimide
外观以及性质:DBCO-SS-Maleimide为白色固体。DBCO (二苯并环辛炔) 的马来酰亚胺 (Maleimide) 衍生物,可以含有巯基的生化小分子发生共轭加成形成稳定的硫醚连接。二硫键在化学上是一条从结合硫醇而衍生的单共价键。它又称为二硫键或双硫桥,差不多只用于生物化学的范畴。
【产品理化指标】:
CAS号:N/A
分子式:C30H30N4O5S2
分子量:590.71
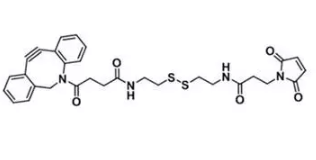
结构式:

试剂纯度:95%
规格:5mg、10mg、25mg
【注意事项】:
1、本品应密封避光,储存于阴凉,干燥,通风处。
2、取用一定要干燥;避免频繁的溶解和冻干
3、仅用于科学研究或者工业应用等非医疗目的,非药用,非食用
【小分子PEG的特点】
小分子PEG是指PEG以2个或2个以上的重复单元相连接而成,他们不同于高分子PEG,他们的分子量都是固定值,而分子量的大小跟重复单元相关,重复单元越高,分子量越大,因为他们不是高分子聚合物的PEG,而是种小分子的重复单元PEG衍生物,因此他们常常是一种纯的小分子PEG产品, 可以用纯度和CAS号来标识他们。对点击试剂来说同样会通过不同的小分子PEG进行连接,DBCO-PEG-acid、DBCO-PEG-NHS ester、DBCO-PEG-amine、DBCO-PEG-CONH-Mal、DBCO-PEG-Biotin、DBCO-PEG-DSPE等一系列的。
相关产品:DBCO-PEG-Pep-1 二苯并环辛炔-聚乙二醇-Pep-1肽
DBCO-PEG-RVG29 二苯并环辛炔-聚乙二醇-RVG29肽
DBCO-PEG-MMPs 二苯并环辛炔-聚乙二醇-基质金属蛋白酶
DBCO-PEG-NGR 二苯并环辛炔-聚乙二醇-NGR肽
DBCO-PEG-R8 二苯并环辛炔-聚乙二醇-R8肽
DBCO-PEG-PLL 二苯并环辛炔-聚乙二醇-聚赖氨酸
DBCO-PEG-Poly-Ornithines 二苯并环辛炔-聚乙二醇-聚鸟氨酸
DBCO-PEG-Poly-Arginines 二苯并环辛炔-聚乙二醇-聚精氨酸
DBCO-PEG-Poly-Sarcosines 二苯并环辛炔-聚乙二醇-聚肌氨酸
厂家:西安齐岳生物科技有限公司
储存时间:1年
保存:冷藏
温馨提醒:仅供科研,不能用于人体实验




齐岳微信公众号
官方微信
库存查询