中文名:(1R,8S,9R)-二环[6.1.0]壬-4-炔-9-基甲醇,exo BCN 甲醇
英文名:exo BCN-OH,BCN-OH(exo)
外观以及性质:淡黄色或白色半固体或固体,取决于分子量。BCN(环辛炔)可用于与 1,2,4,5-四嗪的应变促进无铜点击化学环加成反应。环辛炔和四嗪之间的环加成是生物相容性连接技术。它在生物标记和成像中有许多应用。BCN 非常适合水性生物偶联,因为它与叠氮化物对应物具有高反应性以及高亲水性。
CAS号:1263291-41-3
分子式:C10H14O
分子量:150.22
规格:50mg、100mg、250mg
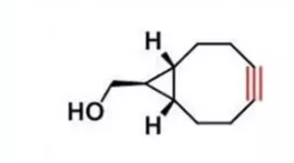
结构式:

西安齐岳生物可以提供:
1:常规基团 NH2/MAL/COOH-PEG-荧光基团/蛋白/高分子聚合物/磷脂/小分子/糖类
2:荧光基团FITC/RB/CY3/CY5-PEG-多肽/蛋白/高分子/小分子/糖类/聚合物
3:靶向分子 Folate//RGD/Chol/Dextran-PEG-常规活性基团/小分子/糖类/聚合物
4:聚合物类PCL/PLGA/PLA/PEI/PAMAM-PEG-常规活性基团/*规活性基团/荧光基团/小分子
5:氨基酸类PLL/PGA/PASP/His-PEG-常规活性基团/糖类/聚合物/蛋白
6:双硫键产品 DSPE-SS-PEG-活性基团
相关产品:
BCN-PEG-tyrosine 环丙烷环辛炔-聚乙二醇-络氨酸
BCN-PEG-glycine 环丙烷环辛炔-聚乙二醇-甘氨酸
BCN-PEG-serine 环丙烷环辛炔-聚乙二醇-丝氨酸
BCN-PEG-Paclitaxel 环丙烷环辛炔-聚乙二醇-紫杉醇
BCN-PEG-Doxorubicin 环丙烷环辛炔-聚乙二醇-阿霉素
BCN-PEG-cisplatin/CDDP 环丙烷环辛炔-聚乙二醇-顺铂
BCN-PEG-Ciprofloxacin 环丙烷环辛炔-聚乙二醇-环丙沙星
BCN-PEG-Metronidazole 环丙烷环辛炔-聚乙二醇-甲硝唑
BCN-PEG-Raltitrexed 环丙烷环辛炔-聚乙二醇-雷替曲塞
厂家:西安齐岳生物科技有限公司
储存时间:1年
保存:冷藏
温馨提醒:仅供科研,不能用于人体实验




齐岳微信公众号
官方微信
库存查询