Ce6-Hyaluronicacid 透明质酸-光敏剂Ce6 二氢卟吩-PEG-透明质酸
发布时间:2023-01-04     作者:axc   分享到:
Ce6-Hyaluronicacid 透明质酸-光敏剂Ce6 二氢卟吩-PEG-透明质酸
中文名称:二氢卟吩-透明质酸
英文名称:Ce6-Hyaluronicacid
别称:透明质酸修饰二氢卟吩,HA-二氢卟吩
纯度:95%+
存储条件:-20°C,避光,避湿
外观:固体或粘性液体,取决于分子量
PEG分子量可选:350、550、750、1k、2k、34k、5k
包装:瓶装/袋装
溶解性:溶于大部分有机溶剂,如:DCM、DMF、DMSO、THF等等。在水中有很好的溶解性
注意事项:取用一定要干燥,避免频繁的溶解和冻干
地址:西安
厂家:西安齐岳生物
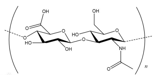
透明质酸,又称玻尿酸,分子式是(C14H21NO11)n,是D-二氢卟吩醛酸及N-乙酰葡糖胺组成的双糖单位糖胺聚糖。西安齐岳生物还可以提供PEG接枝修饰二氢卟吩,二氢卟吩-聚乙二醇-透明质酸,Hyaluronicacid-PEG-Ce6,透明质酸-PEG-二氢卟吩

相关产品:
聚N-异丙基丙烯酰胺-PEG-二氢卟吩 PNIPAAm-PEG-Ce6
聚丙烯酸叔丁酯-PEG-二氢卟吩 PtBA-PEG-Ce6
聚甲基丙烯酸甲酯-PEG-二氢卟吩 PMMA-PEG-Ce6
聚乙烯基吡啶-PEG-二氢卟吩 P4VP-PEG-Ce6
聚乙烯基吡啶-PEG-二氢卟吩 P2VP-PEG-Ce6
聚苯硫醚-PEG-二氢卟吩 PPS-PEG-Ce6
厂家:西安齐岳生物科技有限公司
以上资料来自小编axc,2023.01.04
以上文中提到的产品仅用于科研,不能用于人体。




齐岳微信公众号
官方微信
库存查询