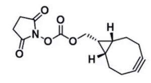
endo-BCN-NHS ester|BCN基团与叠氮化物标记
发布时间:2023-01-04     作者:zyl   分享到:
endo-BCN-NHS ester试剂反应原理:
BCN基团与叠氮化物标记的生物分子反应,NHS酯可用于标记蛋白质的伯胺(-NH2)、胺修饰的寡核苷酸和其他含胺分子。
endo-BCN-NHS ester物理数据:
中文名:(1R,8S,9S)-双环[6.1.0]壬-NHS 酯,endo-BCN-NHS 酯
英文名:endo-BCN-NHS ester,BCN-Osu
CAS:1426827-79-3
化学式:C15H17NO5
分子量:291.3
外观:白色固体
规格:25mg,50mg,100mg
货期:根据具体的产品而定
纯度:95%
用途:实验用途,科学研发,可定制服务
储存条件: 干燥、避光,短期(数天至数周)在 0 - 4 C 或长期(数月至数年)-20 C。

相关产品:
BCN-PEG-Metronidazole 环丙烷环辛炔-聚乙二醇-甲硝唑
BCN-PEG-Raltitrexed 环丙烷环辛炔-聚乙二醇-雷替曲塞
BCN-PEG-Pemetrexed 环丙烷环辛炔-聚乙二醇-培美曲塞
BCN-PEG-sulfadimethoxine 环丙烷环辛炔-聚乙二醇-磺胺地索辛
BCN-PEG-anisamide 环丙烷环辛炔-聚乙二醇-茴香酰胺
BCN-PEG-Estrogen 环丙烷环辛炔-聚乙二醇-雌性激素
BCN-PEG-Adamantine/Ad 环丙烷环辛炔-聚乙二醇-金刚烷
BCN-PEG-Azithromycin 环丙烷环辛炔-聚乙二醇-阿奇霉素
BCN-PEG-NTA-NI 环丙烷环辛炔-聚乙二醇-氮川三乙酸-镍
BCN-PEG-RGD 环丙烷环辛炔-聚乙二醇-RGD肽
厂家:西安齐岳生物科技有限公司
储存时间:1年
保存:冷藏
温馨提醒:仅供科研,不能用于人体实验




齐岳微信公众号
官方微信
库存查询