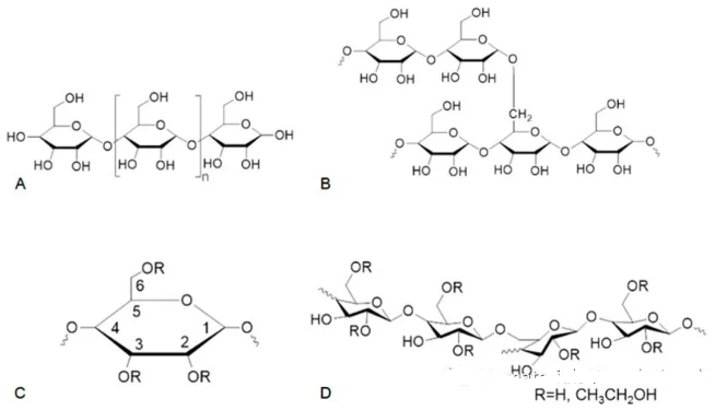
羟乙基淀粉(Hydroxyethyl starch,HES)是一种通过支链淀粉的羟乙基化作用得到的半合成多糖(图1)。HES具有多种优点,如生物相容性,生物降解性,无毒性,水溶性和**的超敏性。此外,HES包含许多官能团,可以方便地进行化学修饰以构建具有有利结构和多功能性的纳米载体。近年来,已经对基于HES的纳米**进行了许多研究,并且越来越多的证据支持以下观点:HES和其衍生物具有的潜力,可作为有前途的纳米载体

图1、(A,B)直链淀粉(A)和支链淀粉(B)的化学结构。(C)淀粉的葡糖基单元中羟乙基修饰的可能的取代模式。(D)HES的化学结构
本文系统地阐述了淀粉及其羟乙基衍生物的结构和合成、修饰方法,聚合物前药的特点及应用在于HES构建的前药(图2),基于HES的纳米颗粒的构建方法,HES构建的纳米载药体系(图3-5),并总结了HES载药体系的未来研究方向。

图2.用于构建基于HES的前药的几种化学疗法**的化学结构

图3.载有DOX / ICG的Gal-HES-PCL纳米胶体的结构示意图,以及它们的拾取乳化液的形成。DOX:阿霉素;Gal:半乳糖;HES:羟乙基淀粉;ICG:吲哚菁绿;PCL:聚己内酯

图4.DOX @ HES-PDA NP和DOX @ PEG-PDA NP的制备示意图。DOX:阿霉素;HES:羟乙基淀粉;mPEG:甲氧基聚(乙二醇);NP:纳米颗粒;PDA:聚多巴胺;PEG:聚(乙二醇)

图5. DOX @ iRGD-HES-SS-C18 NC的制造示意图。C18:1-十八烷硫醇;DOX:阿霉素;HES:羟乙基淀粉;iRGD:9个氨基酸的环状肽;NC:纳米团簇
HA-graft-(MPC-co-Mal-DOX)-AIE诱导聚集发光材料
Phosphorylcholine-DOX 阿霉素-磷脂酰胆碱
Polynorbornene-g-PEG 聚将冰片烯-聚乙二醇
Polynorbornene-g-PEG-CPT 聚将冰片烯-聚乙二醇-喜树碱
Polynorbornene-g-PEG-DOX 聚将冰片烯-聚乙二醇-阿霉素
温馨提示:西安齐岳生物科技有限公司供应的产品仅用于科研,不能用于其他用途,




齐岳微信公众号
官方微信
库存查询