CAS:2088572-01-2|DPPE-DBCO|DPPE-二苯基环辛炔
发布时间:2023-01-05     作者:zyl   分享到:
DPPE-DBCO其中的DBCO活化的聚乙二醇化试剂通过无铜“点击化学”反应与叠氮化合物反应,形成稳定的三唑,不需要铜催化剂或高温。在涉及铜存在的应用中,DBCO活化的聚乙二醇化试剂是需要荧光炔烃的铜的替代品。
CAS号:2088572-01-2
英文名:DPPE-DBCO
中文名:DPPE-二苯并环辛炔,DPPE-二苯基环辛炔
CAS号:2088572-01-2
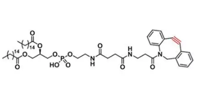
分子式:C59H92N3O11P
分子量:1050.37
纯度:95%
外观:粘性液体或白色固体粉末,取决于分子量
储存条件:-20℃,阴凉、干燥、通风良好,储存在黑暗的仓库中
结构式:

相关产品:
DBCO-PEG-DTPA 二苯并环辛炔-聚乙二醇-二乙基三胺五乙酸
DBCO-PEG-Tretinoin 二苯并环辛炔-聚乙二醇-维甲酸
DBCO-PEG-Niacin 二苯并环辛炔-聚乙二醇-烟酸
DBCO-PEG-Isothiocyanate 二苯并环辛炔-聚乙二醇-异硫氰酸盐
DBCO-PEG-Isocyanate 二苯并环辛炔-聚乙二醇-异氰酸酯
DBCO-PEG-Dansyl 二苯并环辛炔-聚乙二醇-丹磺酰氯
DBCO-PEG-NBD 二苯并环辛炔-聚乙二醇-硝基苯恶二唑
DBCO-PEG-Cyanur 二苯并环辛炔-聚乙二醇-氰尿酸
DBCO-PEG-TRITC 二苯并环辛炔-聚乙二醇-四甲基罗丹明
DBCO-PEG-6-FAM 二苯并环辛炔-聚乙二醇-6-羧甲基荧光素
储存时间:1年
保存:冷藏
温馨提醒:仅供科研,不能用于人体实验




齐岳微信公众号
官方微信
库存查询