PMAAAran 聚丙烯酸甲酯共丙烯酸 无规共聚物
发布时间:2023-01-06     作者:LYQ   分享到:
中文名称:聚丙烯酸甲酯共丙烯酸
英文简称:PMAAAran
英文全称:Poly(methyl acrylate-co-acrylic acid), random
CAS号:n/a; PMA: 9003-21-8; PAA: 9003-01-4
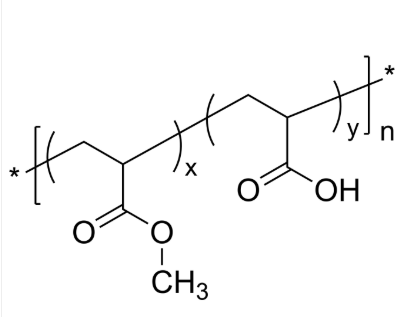
分子式:[(C4H6O2)x(C3H4O2)y]n
主链结构:无规共聚物
主要成分:PAA
亲疏水性:亲水
产品类型:常规高分子
荧光/发光:无
外观/形态:固态粉末或颗粒(以实际外观为准)
纯度:≤ 100%
结构式:

包装: 瓶装
用途:用于医学研究,药物释放,纳米技术和新材料研究。
品牌:齐岳生物
产地:西安
供应商:西安齐岳生物科技有限公司
温馨提示:仅用于科研实验,不能用于人体!
齐岳生物可以提供各种不同的聚合物的嵌段共聚物,有均聚物,嵌段共聚物,星形聚合物等。
相关产品:
P2VN-PnBuA 聚(2-乙烯基萘)-聚丙烯酸正丁酯 荧光二嵌段共聚物
Poly(2-vinyl naphthalene)-b-poly(n-butyl acrylate)
P2VN-PtBuA 聚(2-乙烯基萘)-聚丙烯酸叔丁酯 荧光二嵌段共聚物
Poly(2-vinyl naphthalene)-b-poly(tert-butyl acrylate)
P2VN-PDMS 聚(2-乙烯基萘)-聚二甲基硅氧烷 荧光二嵌段共聚物
Poly(2-vinyl naphthalene)-b-poly(dimethylsiloxane)




齐岳微信公众号
官方微信
库存查询