PMMAnBuMAran 聚甲基丙烯酸甲酯共甲基丙烯酸正丁酯 无规共聚物
发布时间:2023-01-06     作者:LYQ   分享到:
中文名称:聚甲基丙烯酸甲酯共甲基丙烯酸正丁酯
英文简称:PMMAnBuMAran-iso
英文全称:Poly(methyl methacrylate-co-n-butyl methacrylate), random - isotactic
CAS号:25608-33-7
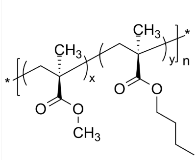
分子式:[(C5H8O2)x(C8H14O2)y]n
主链结构:无规共聚物
主要成分:PMMA
亲疏水性:疏水
产品类型:常规高分子
荧光/发光:无
外观/形态:固态粉末或颗粒(以实际外观为准)
纯度:≤ 100%
结构式:

包装: 瓶装
用途:用于医学研究,药物释放,纳米技术和新材料研究。
品牌:齐岳生物
产地:西安
供应商:西安齐岳生物科技有限公司
温馨提示:仅用于科研实验,不能用于人体!
齐岳生物可以提供各种不同的聚合物的嵌段共聚物,有均聚物,嵌段共聚物,星形聚合物等。
相关产品:
P2VN-PMMA 聚(2-乙烯基萘)-聚甲基丙烯酸甲酯 荧光二嵌段共聚物
Poly(2-vinyl naphthalene)-b-poly(methyl methacrylate)
PVCH-PCL 聚乙烯基环己烷-聚己内酯 二嵌段共聚物
Poly(vinyl cyclohexane)-b-poly(ε-caprolactone)
PVCH-P4VP 聚乙烯基环己烷-聚(4-乙烯基吡啶) 两亲性二嵌段共聚物
Poly(vinyl cyclohexane)-b-poly(4-vinyl pyridine)
PVAc-PMMA 聚醋酸乙烯酯-聚甲基丙烯酸甲酯 两亲性二嵌段共聚物
Poly(vinyl acetate)-b-poly(methyl methacrylate)




齐岳微信公众号
官方微信
库存查询