THPTA,Tris(3-hydroxypropyltriazolylmethyl)amine 95,CAS:760952-88-3
发布时间:2023-01-06     作者:zyl   分享到:
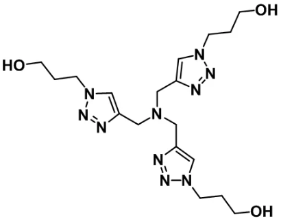
英文名称:THPTA
英文别名:Tris(3-hydroxypropyltriazolylmethyl)amine 95
CAS:760952-88-3
分子式:C18H32N10O3
分子量:434.5
外观:白色固体
纯度:>95%
储存条件:-20°C,避光避湿
用途:仅供科研使用,不用于诊疗
结构式:

相关产品:
Tetrazine-Lysines 四嗪-赖氨酸
Tetrazine-threonine 四嗪-苏氨酸
Tetrazine-leucine 四嗪-亮氨酸
Tetrazine-valine 四嗪-缬氨酸
Tetrazine-Tryptophan 四嗪-色氨酸
Tetrazine-Arginine 四嗪-精氨酸
Tetrazine-Ornithine 四嗪-鸟氨酸
Tetrazine-Aspartic acid 四嗪-天冬氨酸
Tetrazine-tyrosine 四嗪-络氨酸
Tetrazine-glycine 四嗪-甘氨酸
储存时间:1年
保存:冷藏
温馨提醒:仅供科研,不能用于人体实验




齐岳微信公众号
官方微信
库存查询