PMMA2HPAran 聚甲基丙烯酸甲酯共(丙烯酸-2-羟丙酯) 无规共聚物
发布时间:2023-01-09     作者:LYQ   分享到:
中文名称:聚甲基丙烯酸甲酯共(丙烯酸-2-羟丙酯)
英文简称:PMMA2HPAran
英文全称:Poly(methyl methacrylate-co-2-hydroxypropyl acrylate), random
CAS号:n/a; PMMA: 9011-14-7; PHPA: 32029-53-1
分子式:[(C5H8O2)x(C6H10O3)y]n
主链结构:无规共聚物
主要成分:PMMA
亲疏水性:疏水
产品类型:常规高分子
荧光/发光:无
外观/形态:固态粉末或颗粒(以实际外观为准)
纯度:≤ 100%
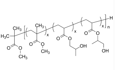
结构式:

包装: 瓶装
用途:用于医学研究,药物释放,纳米技术和新材料研究。
品牌:齐岳生物
产地:西安
供应商:西安齐岳生物科技有限公司
温馨提示:仅用于科研实验,不能用于人体!
齐岳生物可以提供各种不同的聚合物的嵌段共聚物,有均聚物,嵌段共聚物,星形聚合物等。
相关产品:
PIB-PMMA 聚异丁烯-聚甲基丙烯酸甲酯 二嵌段共聚物
Poly(isobutylene)-b-poly(methyl methacrylate)
PIB-P4VP 聚异丁烯-聚(4-乙烯基吡啶) 两亲性二嵌段共聚物
Poly(isobutylene)-b-poly(4-vinyl pyridine)
PFES 聚二茂铁二甲基硅烷 疏水高分子均聚物
Poly(ferrocenyl dimethylsilane)
PAcPrMS 聚丙烯酸丙酯基甲基硅氧烷 疏水高分子均聚物
Poly(acryloxypropyl methyl siloxane)




齐岳微信公众号
官方微信
库存查询