CAS:173308-19-5,DOTA(tert-butyl ester)ethylenamine amide
发布时间:2023-01-09     作者:zyl   分享到:
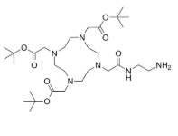
英文名 DOTA(tert-butyl ester)ethylenamine amide
分子式 C30H58N6O7
分子量 614.81800
质量 614.43700
PSA 146.98000
LogP 1.15080
结构式:

配合物由内界和外界两部分组成。内界为配合物的特征部分(即配位个体),是一个在溶液中相当稳定的整体,在配合物的化学式中以方括号标明。方括号以外的离子构成配合物的外界,内界与外界之间以离子键结合。内界与外界离子所带电荷的总量相等,符号相反。显然,中性配位个体只有内界,没有外界。
相关产品:
Maleimido-mono-amide-DTPA CAS:2032239-75-9
p-NH2-Bn-PCTA CAS:2125661-64-3
p-SCN-Bn-PCTA CAS:949147-44-8
p-NH2-Bn-oxo-DO3A CAS:2125661-90-5
p-SCN-Bn-oxo-DO3A CAS:1370442-99-1
p-NH2-Bn-NOTA CAS:142131-37-1
p-SCN-Bn-NOTA CAS:147597-66-8
厂家:西安齐岳生物科技有限公司
储存时间:1年
保存:冷藏
温馨提醒:仅供科研,不能用于人体实验




齐岳微信公众号
官方微信
库存查询