多巴胺修饰紫杉醇 Dopamine-PTX 多巴胺-PEG-紫杉醇 Dopamine-PEG-PTX
中文名称:多巴胺修饰紫杉醇
英文名称:Dopamine-PTX
别称:多巴胺修饰紫杉醇,多巴胺-紫杉醇
纯度:95%+
存储条件:-20°C,避光,避湿
外观:固体或粘性液体,取决于分子量
PEG分子量可选:350、550、750、1k、2k、34k、5k
包装:瓶装/袋装
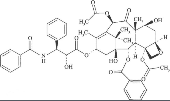
紫衫醇分子式为C47H51NO14,相对分子质量853.91。紫杉醇为白色结晶性粉末,无臭,无味,难溶于水,易溶于甲醇、乙腈、氯仿、丙酮等有机溶剂。
紫衫醇结构式

溶解性:溶于大部分有机溶剂,如:DCM、DMF、DMSO、THF等等。在水中有很好的溶解性
注意事项:取用一定要干燥,避免频繁的溶解和冻干
地址:西安
厂家:西安齐岳生物
西安齐岳生物还可以提供PEG接枝修饰紫杉醇,紫杉醇-聚乙二醇-多巴胺Dopamine-PEG-PTX,多巴胺-PEG-紫杉醇
相关产品:
YIGSR-PEG-PTX 紫杉醇偶联YIGSR肽
WSW-PEG-PTX WSW肽修饰紫杉醇
Pep-1-PEG-PTX 紫杉醇改性Pep-1肽
RVG29-PEG-PTXRVG29 RVG29肽偶联紫杉醇
MMPs-PEG-PTXMMPs 紫杉醇修饰MMPs肽
NGR-PEG-PTX 紫杉醇偶联多肽NGR
R8-PEG-PTX 紫杉醇偶联多肽R8
聚赖氨酸-PEG-紫杉醇 PLL-PEG-PTX
聚鸟氨酸-PEG-紫杉醇 Poly-Ornithines-PEG-PTX
聚精氨酸-PEG-紫杉醇 Poly-Arginines-PEG-PTX
聚肌氨酸-PEG-紫杉醇 Poly-SarPTXines-PEG-PTX
聚天冬氨酸-PEG-紫杉醇 PASP-PEG-PTX
厂家:西安齐岳生物科技有限公司
以上资料来自小编axc,2023.01.10
以上文中提到的产品仅用于科研,不能用于人体。




齐岳微信公众号
官方微信
库存查询