p-NCS-Bz-DOTA-GA,CAS:2125661-64-3,大环配体配合物
发布时间:2023-01-11     作者:zyl   分享到:
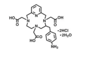
p-NCS-Bz-DOTA-GA
英文名:p-NH2-Bn-PCTA
化学式:C24H31N5O6·2HCl·2H2O
化学名称:
3,6,9,15-Tetraazabicyclo[9.3.1] pentadeca-1(15),11,13-triene-4-S-(4-aminobenzyl)-3,6,9-triacetic acid
分子量:594.5
CAS:2125661-64-3
纯度:≥ 99%
结构式:

配合物由内界和外界两部分组成。内界为配合物的特征部分(即配位个体),是一个在溶液中相当稳定的整体,在配合物的化学式中以方括号标明。方括号以外的离子构成配合物的外界,内界与外界之间以离子键结合。内界与外界离子所带电荷的总量相等,符号相反。显然,中性配位个体只有内界,没有外界。
相关产品:
Gd-DOTA CAS:72573-82-1
Tm-DOTP CAS:30859-88-8
Tm-DOTMA CAS:2126179-30-2
Eu-DOTA-4AmC CAS:481668-57-9
Tm-p-SCN-Bn-DOTA CAS:2126179-32-4
Gd-p-SCN-Bn-DOTA CAS:2126179-26-6
Ho-p-SCN-Bn-DOTA CAS:2126179-28-8
Tm-Maleimido-DOTA CAS:1552305-24-4
厂家:西安齐岳生物科技有限公司
储存时间:1年
保存:冷藏
温馨提醒:仅供科研,不能用于人体实验




齐岳微信公众号
官方微信
库存查询