螯合剂DTPA-tetra(tBu)ester CAS:180152-83-4
发布时间:2023-01-11  作者:zyl  分享到:
螯合剂DTPA-tetra(tBu)ester CAS 180152-83-4
分子量:617.8
纯度≥ 94%
类别:大环配体化合物
鉴定方法:Mass, NMR
分析方法:HPLC
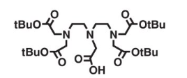
结构式:

描述:
配合物由内界和外界两部分组成。内界为配合物的特征部分(即配位个体),是一个在溶液中相当稳定的整体,在配合物的化学式中以方括号标明。方括号以外的离子构成配合物的外界,内界与外界之间以离子键结合。内界与外界离子所带电荷的总量相等,符号相反。显然,中性配位个体只有内界,没有外界。
相关产品:
DOTA-PEG-Catalase 四氮杂环十二烷四乙酸-聚乙二醇-过氧化氢酶
DOTA-PEG-Insulin 四氮杂环十二烷四乙酸-聚乙二醇-胰岛素
DOTA-PEG-Casein 四氮杂环十二烷四乙酸-聚乙二醇-络蛋白
DOTA-PEG-Ovalbumin 四氮杂环十二烷四乙酸-聚乙二醇-卵清蛋白
DOTA-PEG-Lectins 四氮杂环十二烷四乙酸-聚乙二醇-凝集素
DOTA-PEG-Dextran 四氮杂环十二烷四乙酸-聚乙二醇-葡聚糖/右旋糖酐
厂家:西安齐岳生物科技有限公司
储存时间:1年
保存:冷藏
温馨提醒:仅供科研,不能用于人体实验




齐岳微信公众号
官方微信
库存查询