cas1397275-76-1 NOPO 大环配体化合物
发布时间:2023-01-11     作者:zyl   分享到:
cas1397275-76-1 NOPO 大环配体化合物
西安齐岳生物有限公司可以提供各种大环化合物,包含大环配体、双功能螯合剂、环糊精、聚醚、葫芦脲、卟啉、酞菁、磁共振试剂、反应中间体等一系列产品;质量稳定,接受定制,提供核磁,HPLC,LCMS,GC图谱 可放心使用,纯度99%以上。
cas1397275-76-1 NOPO 大环配体化合物
基本参数
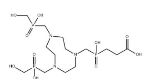
CAS:1397275-76-1
分子式C14H32N3O10P3
分子量495.34
纯度≥ 95%
结构式

类别:大环配体化合物
纯度:99%+
鉴定方法:Mass, NMR
分析方法:HPLC
货期:国产:1-3天,进口:1-2周
保质期:2年
存储:4℃冷藏、密封、避光
供应量:**,可以分成小包装(根据客户需求)
产品质量稳定,接受定制,提供核磁,HPLC,LCMS,GC图谱 可放心使用
相关产品:
p-NCS-Bz-DFO CAS 1222468-90-7
DO2AtBu CAS 162148-48-3
DO3AtBu CAS 122555-91-3
DO3AM CAS 331230-43-4
DOTAM CAS 157599-02-5
DOTAEt CAS 137076-50-7
NO2AtBu CAS 174137-97-4
厂家:西安齐岳生物科技有限公司
储存时间:1年
保存:冷藏
温馨提醒:仅供科研,不能用于人体实验




齐岳微信公众号
官方微信
库存查询