大环配体DOTA-tris(tBu)ester NHS ester,CAS:819869-77-7
发布时间:2023-01-12     作者:zyl   分享到:
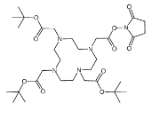
常用名 DOTA-tris(tBu)ester NHS ester
英文名 DOTA-tris(tBu)ester NHS ester
CAS号 819869-77-7
分子量 669.80700
分子式 C32H55N5O10
质量 669.39500
PSA 155.54000
LogP 0.52980
结构式

西安齐岳生物有限公司可以提供各种大环化合物,包含大环配体、双功能螯合剂、环糊精、聚醚、卟啉、酞菁、磁共振试剂、反应中间体等一系列产品;质量稳定,接受定制,提供核磁,HPLC,LCMS,GC图谱 可放心使用,纯度99%以上
相关产品:
Maleimido-mono-amide-DOTA-tris (t-Bu ester) CAS:1613382-10-7
Maleimido-mono-amide-DOTA CAS:1006711-09-5
Fmoc-L-Lys-mono-amide-DOTA-tris(t-Bu ester) cas:479081-06-6
Propargyl-NOTA(tBu)2
BCN-NODA-GA
NCS-MP-NODA CAS 1374994-81-6
NH2-MPAA-NODA
DTPA-tetra(tBu)ester CAS 180152-83-4
DTPA-bis anhydride CAS 23911-26-4
厂家:西安齐岳生物科技有限公司
储存时间:1年
保存:冷藏
温馨提醒:仅供科研,不能用于人体实验




齐岳微信公众号
官方微信
库存查询