螯合剂DTPA-tetra(tBu)ester CAS 180152-83-4
发布时间:2023-01-12     作者:zyl   分享到:
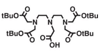
螯合剂DTPA-tetra(tBu)ester CAS 180152-83-4
分子量:617.8
纯度≥ 94%
类别:大环配体化合物
鉴定方法:Mass, NMR
分析方法:HPLC
结构式:

西安齐岳生物有限公司可以提供各种大环化合物,包含大环配体、双功能螯合剂、环糊精、聚醚、卟啉、酞菁、磁共振试剂、反应中间体等一系列产品;质量稳定,接受定制,提供核磁,HPLC,LCMS,GC图谱 可放心使用,纯度99%以上
相关产品:
DTPA-bis anhydride CAS 23911-26-4
Maleimide-DTPA
THP(BZ)3-NH2 CAS 827331-42-0
THP-Mal CAS 1314929-99-1
THP-NCS CAS 1807847-98-8
NOPO CAS 1397275-76-1
p-NCS-Bz-DFO CAS 1222468-90-7
DO2AtBu CAS 162148-48-3
DOTA-PEG-DMPE 大环配体-聚乙二醇-二肉豆蔻酰基磷脂酰乙醇胺
厂家:西安齐岳生物科技有限公司
储存时间:1年
保存:冷藏
温馨提醒:仅供科研,不能用于人体实验




齐岳微信公众号
官方微信
库存查询