NOPO CAS:1397275-76-1 大环配体化合物
发布时间:2023-01-12  作者:zyl  分享到:
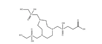
NOPO CAS 1397275-76-1
英文名称:NOPO
英文同义词:
Propanoicacid,3-[hydroxy[[octahydro-4,7-bis[[hydroxy(hydroxymethyl)phosphinyl]methyl]-1H-1,4,7-triazonin-1-yl]methyl]phosphinyl]-
CAS号:1397275-76-1
分子式:C14H32N3O10P3
分子量:495.34
结构式:

西安齐岳生物有限公司可以提供各种大环化合物,包含大环配体、双功能螯合剂、环糊精、聚醚、卟啉、酞菁、磁共振试剂、反应中间体等一系列产品;质量稳定,接受定制,提供核磁,HPLC,LCMS,GC图谱 可放心使用,纯度99%以上
相关产品:
p-NCS-Bz-DFO CAS 1222468-90-7
DO2AtBu CAS 162148-48-3
DO3AtBu CAS 122555-91-3
DO3AM CAS 331230-43-4
DOTAM CAS 157599-02-5
DOTAEt CAS 137076-50-7
NO2AtBu CAS 174137-97-4
NOTAM CAS 180299-76-1
TETRAM CAS 220554-75-6
TETAEt CAS 126320-57-8
厂家:西安齐岳生物科技有限公司
储存时间:1年
保存:冷藏
温馨提醒:仅供科研,不能用于人体实验




齐岳微信公众号
官方微信
库存查询