MTX-Hyaluronicacid 甲氨蝶呤-透明质酸 HA-PEG-MTX 透明质酸-PEG2K-甲氨蝶呤
发布时间:2023-01-13     作者:axc   分享到:
MTX-Hyaluronicacid 甲氨蝶呤-透明质酸 HA-PEG-MTX 透明质酸-PEG2K-甲氨蝶呤
中文名称:甲氨蝶呤-透明质酸
英文名称:MTX-Hyaluronicacid
别称:透明质酸修饰甲氨蝶呤,HA-甲氨蝶呤
纯度:95%+
存储条件:-20°C,避光,避湿
外观:固体或粘性液体,取决于分子量
PEG分子量可选:350、550、750、1k、2k、34k、5k
包装:瓶装/袋装
溶解性:溶于大部分有机溶剂,如:DCM、DMF、DMSO、THF等等。在水中有很好的溶解性
注意事项:取用一定要干燥,避免频繁的溶解和冻干
地址:西安
厂家:西安齐岳生物
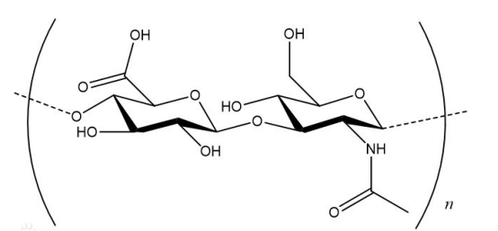
透明质酸,又称玻尿酸,分子式是(C14H21NO11)n,是D-甲氨蝶呤醛酸及N-乙酰葡糖胺组成的双糖单位糖胺聚糖。西安齐岳生物还可以提供PEG接枝修饰甲氨蝶呤,甲氨蝶呤-聚乙二醇-透明质酸,Hyaluronicacid-PEG-MTX,透明质酸-PEG-甲氨蝶呤

相关产品:
氨基-PEG-甲氨蝶呤 MTX-SS-NH2
羧酸-PEG-甲氨蝶呤 MTX-SS-COOH
马来酰亚胺-PEG-甲氨蝶呤 MTX-SS-MAL
N-羟基琥珀酰亚胺-PEG-甲氨蝶呤 MTX-SS-NHS
叠氮-PEG-甲氨蝶呤 MTX-SS-N3
炔基-PEG-甲氨蝶呤 MTX-SS-Alkyne
巯基-PEG-甲氨蝶呤 MTX-SS-SH
生物素-PEG-甲氨蝶呤 MTX-SS-Biotin
醛基-PEG-甲氨蝶呤 MTX-SS-CHO
厂家:西安齐岳生物科技有限公司
以上资料来自小编axc,2023.01.13
以上文中提到的产品仅用于科研,不能用于人体。




齐岳微信公众号
官方微信
库存查询