H2N-PEG8-OH,Amino-PEG8-alcohol,CAS:352439-37-3,氨基八聚乙二醇羟基
发布时间:2023-01-30     作者:ssl   分享到:
英文名称:H2N-PEG8-OH
Amino-PEG8-alcohol
1-AMINOOCTAETHYLENE GLYCOL
化 学 名:23-amino-3,6,9,12,15,18,21-heptaoxatricosan-1-ol
CAS:352439-37-3
产品名称:氨基八聚乙二醇羟基
纯 度:>97.00%
分 子 式:C16H35NO8
分 子 量:369.45
状 态: 无色液体或白色固体
保 存:避光,-18℃长期保存
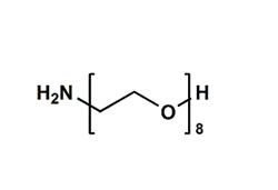
结 构 式:

厂家:西安齐岳生物科技有限公司
用途:科研
状态:固体/粉末/溶液
产地:西安
储存时间:1年
保存:冷藏
储藏条件:-20℃
温馨提醒:仅供科研,不能用于人体实验
相关产品:
Azide-PEG12-DNP
Boc-NH-PEG12-DNP
COOtBu-PEG12-DNP;DNP-PEG12-t-butyl ester
mPEG12-Br;1620461-89-3;甲氧基-十二聚乙二醇-溴
Amineoxy-PEG3-thiol HCl salt,1200365-63-4
Amine-PEG12-COOtBu,1383814-00-3
mPEG13-Acid;2170098-33-4
Acid-PEG13-acid;51178-68-8
Biotin-PEG32-NHS
HO-PEG12-DNP




齐岳微信公众号
官方微信
库存查询