DOX-DOPE 阿霉素-二油酰基磷脂酰乙醇胺 DOPE-PEG2000-阿霉素
发布时间:2023-01-30     作者:axc   分享到:
DOX-DOPE 阿霉素-二油酰基磷脂酰乙醇胺 DOPE-PEG2000-阿霉素
中文名称:阿霉素-二油酰基磷脂酰乙醇胺
英文名称:DOX-DOPE
别称:DOPE修饰阿霉素,DOPE-阿霉素
纯度:95%+
存储条件:-20°C,避光,避湿
外观:固体或粘性液体,取决于分子量
PEG分子量可选:350、550、750、1k、2k、34k、5k
包装:瓶装/袋装
溶解性:溶于大部分有机溶剂,如:DCM、DMF、DMSO、THF等等。在水中有很好的溶解性
注意事项:取用一定要干燥,避免频繁的溶解和冻干
地址:西安
厂家:西安齐岳生物
西安齐岳生物还可以提供PEG接枝修饰阿霉素,阿霉素-聚乙二醇-二油酰基磷脂酰乙醇胺,DOPE-PEG-DOX,二油酰基磷脂酰乙醇胺-PEG-阿霉素
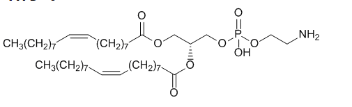
二油酰基磷脂酰乙醇胺DOPE结构式

相关产品:
阿霉素-聚天冬氨酸 DOX-poly
阿霉素-组氨酸 DOX-His
阿霉素-谷氨酸 DOX-glutaric
阿霉素-赖氨酸 DOX-Lysines
阿霉素-苏氨酸 DOX-threonine
阿霉素-亮氨酸 DOX-leucine
阿霉素-缬氨酸 DOX-valine
阿霉素-色氨酸 DOX-Tryptophan
阿霉素-精氨酸 DOX-Arginine
阿霉素-鸟氨酸 DOX-Ornithine
厂家:西安齐岳生物科技有限公司
以上资料来自小编axc,2023.01.30
以上文中提到的产品仅用于科研,不能用于人体。




齐岳微信公众号
官方微信
库存查询