DOX-Hyaluronicacid 阿霉素-透明质酸 Ha-PEG-DOX,透明质酸-PEG2000-阿霉素
发布时间:2023-01-30     作者:axc   分享到:
DOX-Hyaluronicacid 阿霉素-透明质酸 Ha-PEG-DOX,透明质酸-PEG2000-阿霉素
中文名称:阿霉素-透明质酸
英文名称:DOX-Hyaluronicacid
别称:透明质酸修饰阿霉素,HA-阿霉素
纯度:95%+
存储条件:-20°C,避光,避湿
外观:固体或粘性液体,取决于分子量
PEG分子量可选:350、550、750、1k、2k、34k、5k
包装:瓶装/袋装
溶解性:溶于大部分有机溶剂,如:DCM、DMF、DMSO、THF等等。在水中有很好的溶解性
注意事项:取用一定要干燥,避免频繁的溶解和冻干
地址:西安
厂家:西安齐岳生物
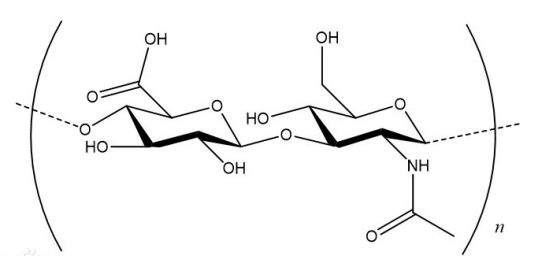
透明质酸,又称玻尿酸,分子式是(C14H21NO11)n,是D-阿霉素醛酸及N-乙酰葡糖胺组成的双糖单位糖胺聚糖。西安齐岳生物还可以提供PEG接枝修饰阿霉素,阿霉素-聚乙二醇-透明质酸,Hyaluronicacid-PEG-DOX,透明质酸-PEG-阿霉素

相关产品:
阿霉素-聚乙二醇-甘草次酸 DOX-PEG-glycyrrhetinic acid
阿霉素-聚乙二醇-环糊精 DOX-PEG-Cyclodextrin
阿霉素-聚乙二醇-甘磷酸胆碱 DOX-PEG-Choline Glycerophosphate
阿霉素-聚乙二醇-四氮杂环十二烷四乙酸
阿霉素-聚乙二醇-大环配体NOTA
阿霉素-聚乙二醇-二乙基三胺五乙酸
阿霉素-聚乙二醇-维甲酸 DOX-PEG-Tretinoin
厂家:西安齐岳生物科技有限公司
以上资料来自小编axc,2023.01.30
以上文中提到的产品仅用于科研,不能用于人体。




齐岳微信公众号
官方微信
库存查询