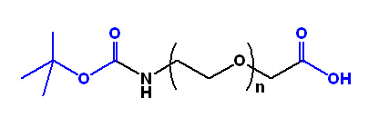
Boc-PEG-COOH,Boc-NH-PEG-Acid,叔丁酯聚乙二醇羧基,Boc聚乙二醇衍生物(Boc-PEG-X)
发布时间:2023-01-31     作者:zhn   分享到:
基本信息
中文名称:叔丁酯聚乙二醇羧基
中文别名:叔丁酯PEG羧基
英文名称:Boc-PEG-COOH,Boc-NH-PEG-Acid

产品介绍
Boc聚乙二醇衍生物(Boc-PEG-X)可以用来修饰蛋白质、多肽和其他带有活性基团的材料。Boc基团可以保护羧基,也很方便脱去保护。聚乙二醇可以增加溶解度和稳定性。减少多肽和蛋白质的免疫原性,它也可以抑制带电分子在修饰表面的非特异性结合。这种材料有广泛的在医疗器械改造领域中的应用,生物分子修饰以及颗粒表面功能化。
产地:西安
用途:科研
供应商:西安齐岳生物科技有限公司
西安齐岳生物科技有限公司是国内的PEG供应商,可以提供不同分子量的PEG衍生物,小分子PEG的循环节可以做到1-36个,高分子PEG分子量从1000-40000不等,可以修饰的基团有:氨基类,NHBOC类,Fmoc类,羧酸类,Mal类,NHS类,叠氮类,DBCO类,Cy3/Cy5/Cy7类,THP类,苄基类,丙炔基类,溴代类,丙酸叔丁酯类,乙酸叔丁酯类,甲基类,生物素类,五氟苯酚类,磺酸酯类,巯基类,产品纯度高达98%以上。
相关产品:
DBCO-PEG1-amine TFA salt
DBCO-PEG2-amine TFA salt
DBCO-PEG4-amine TFA salt
DBCO-PEG6-amine TFA salt
DBCO-PEG8-amine TFA salt
DBCO-PEG9-amine TFA salt




齐岳微信公众号
官方微信
库存查询