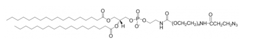
中文名称:磷脂PEG叠氮,磷脂聚乙二醇叠氮
英 文:1,2-distearoyl-sn-glycero-3-phosphoethanolamine-N-[azido(polyethyleneglycol)]
别 名:DSPE-PEG-N3, DSPE-PEG-Azide
外观:白色粉末
分 子 式:C132H264N5O54P
溶 解 度:>10mg/mL in hot water, chloroform, DMSO
PEG分子量:2000
整体分子量:2800
结构式:

DSPE-PEG-N3
西安齐岳生物科技有限公司定制供应合成磷脂、PEG磷脂、两亲嵌段共聚物,磁性纳米颗粒,纳米金,荧光量子点及树枝状聚合物、PEG衍生物等等产品.可供常规磷脂单体、PEG磷脂,改性磷脂,磷脂、聚合物磷脂、磷脂偶连无机纳米材料及微球类材料、单分散小分子PEG磷脂偶连产品,还可根据客户需要定制合成复杂及特殊的聚合物磷脂产品。
厂家:西安齐岳生物科技有限公司
用途:科研
状态:固体/粉末/溶液
产地:西安
储存时间:1年
保存:冷藏
储藏条件:-20℃
温馨提醒:仅供科研,不能用于人体实验
相关产品:
azide-PEG12-OH;73342-16-2
Azide-PEG10-NHS ester
mPEG11-Acid
Azide-PEG12-Acid;1167275-20-3
mPEG12-NHS ester;2207596-93-6
Acid-PEG10-acid;2055023-26-0
azide-PEG10-amine;912849-73-1
COOtBu-PEG12-OH;1186025-29-5
COOtBu-PEG12-OH;1186025-29-5
OH-PEG2-DNP
t-Boc-Amineoxy-PEG3-acid,1835759-82-4




齐岳微信公众号
官方微信
库存查询