CDDP-Hyaluronicacid 顺铂-透明质酸 HA-PEG2000-CDDP 透明质酸-PEG-顺铂
发布时间:2023-02-01     作者:axc   分享到:
CDDP-Hyaluronicacid 顺铂-透明质酸 HA-PEG2000-CDDP 透明质酸-PEG-顺铂
中文名称:顺铂-透明质酸
英文名称:CDDP-Hyaluronicacid
别称:透明质酸修饰顺铂,HA-顺铂
纯度:95%+
存储条件:-20°C,避光,避湿
外观:固体或粘性液体,取决于分子量
PEG分子量可选:350、550、750、1k、2k、34k、5k
包装:瓶装/袋装
溶解性:溶于大部分有机溶剂,如:DCM、DMF、DMSO、THF等等。在水中有很好的溶解性
注意事项:取用一定要干燥,避免频繁的溶解和冻干
地址:西安
厂家:西安齐岳生物
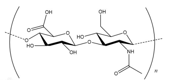
透明质酸,又称玻尿酸,分子式是(C14H21NO11)n,是D-顺铂醛酸及N-乙酰葡糖胺组成的双糖单位糖胺聚糖。西安齐岳生物还可以提供PEG接枝修饰顺铂,顺铂-聚乙二醇-透明质酸,Hyaluronicacid-PEG-CDDP,透明质酸-PEG-顺铂

相关产品:
甲基丙烯酸酯-PEG-顺铂 Methacrylate-PEG-CDDP
碘乙酸盐-PEG-顺铂 Iodoacetate-PEG-CDDP
氯化物-PEG-顺铂 Chloride-PEG-CDDP
二苯基环辛炔-PEG-顺铂 DBCO-PEG-CDDP
反式环辛烯-PEG-顺铂 TCO-PEG-CDDP
四嗪-PEG-顺铂 TZ-PEG-CDDP
叶酸-PEG-顺铂 FA-PEG-CDDP
厂家:西安齐岳生物科技有限公司
以上资料来自小编axc,2023.02.01
以上文中提到的产品仅用于科研,不能用于人体。




齐岳微信公众号
官方微信
库存查询