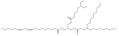
LP-01 阳离子脂质(CAS号 1799316-64-5)
LP-01 是一款经典且成熟应用的阳离子脂质,主要用于核酸类药物的递送系统中,尤其是mRNA、siRNA和DNA疫苗领域。我们提供这个产品,仅供科研,如有需要,欢迎咨询!
其分子设计包含阳离子头基和长链脂肪酸尾部,能够与带负电的核酸分子高效结合,形成稳定的脂质纳米颗粒(LNPs)。LP-01 在内体酸性环境下可增强质子化能力,促进核酸从内体释放,显著提升转染效率。脂肪链部分则赋予了纳米颗粒优异的疏水性和膜融合能力,确保其在体内稳定性和分散性。
LP-01 以其高载药能力、良好生物相容性和低细胞毒性广泛应用于mRNA疫苗开发、基因治疗及RNA干扰等前沿领域,是LNP脂质系统中的关键成分之一,支撑了多款mRNA疫苗及核酸药物的成功研发和应用。

【基本信息】:
产地:西安
纯度:95%
形态:固体/粉末
规格:50mg 100mg 250mg 500mg
储存条件:冷藏
温馨提示:仅用于科研!不可用于人体实验!
【关于我们】:
西安齐岳生物科技有限公司经营的产品种类包括有:合成磷脂、高分子聚乙二醇衍生物、嵌段共聚物、磁性纳米颗粒、环糊精衍生物、大环配体类、荧光量子点、透明质酸衍生物、石墨烯或氧化石墨烯、碳纳米管、富勒烯,具体包含以下产品:DSPE-PEG-N3,磷脂聚乙二醇叠氮;DSPE-PEG-NBD,二硬脂酰基磷脂酰乙醇胺-聚乙二醇-硝基苯恶二唑;DSPE-PEG-Alkyne,二硬脂酰基磷脂酰乙醇胺-聚乙二醇-炔基;DSPE-PEG-Glucose,二硬脂酰基磷脂酰乙醇胺-聚乙二醇-葡萄糖;DSPE-PEG-DOTA,磷脂- 聚乙二醇-四氮杂环配体等等。
【相关产品】:
CDD0102,CAS号146422-58-4
CDD3505,CAS号173865-33-3,活性氧分子
CDDO-EA,CAS号932730-51-3,活性氧抑制剂
CDK2细胞周期蛋白依赖性激酶2,CAS号255064-79-0
CDK9-IN-1,CAS号1415559-43-1
CDK9-IN-2,CAS号1263369-28-3,活性氧分子




齐岳微信公众号
官方微信
库存查询