NOTA-PEG-Hyaluronic acid 大环配体-聚乙二醇-透明质酸 NOTA-PEG2000-HA
发布时间:2023-02-02  作者:zyl  分享到:
西安齐岳生物有限公司可以提供各种大环化合物,包含大环配体、双功能螯合剂、环糊精、聚醚、卟啉、酞菁、磁共振试剂、反应中间体等一系列产品;质量稳定,接受定制,提供核磁,HPLC,LCMS,GC图谱 可放心使用,纯度99%以上
产品名称:大环配体-聚乙二醇-透明质酸
英文名称:NOTA-PEG-Hyaluronic acid
类别:大环配体化合物
鉴定方法:Mass, NMR
分析方法:HPLC
纯度:95%+
存储条件:-20°C,避光,避湿
外观:固体或粘性液体,取决于分子量
包装:瓶装/袋装
溶解性:溶于大部分有机溶剂,如:DCM、DMF、DMSO、THF等等。在水中有很好的溶解性
注意事项:取用一定要干燥,避免频繁的溶解和冻干
描述:
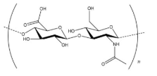
透明质酸,又称玻尿酸,分子式是(C14H21NO11)n,是D-葡萄糖醛酸及N-乙酰葡糖胺组成的双糖单位糖胺聚糖。
透明质酸,又名玻尿酸,hyaluronic acid的hyal-意思是像玻璃一样的、光亮透明的,而uronic acid指的是糖醛酸,与尿酸没有任何关系。
透明质酸结构图:

相关产品:
NOTA-Polystyrene 大环配体-聚丙乙烯
NOTA-PEI 大环配体-聚乙烯亚胺
NOTA-PAMAM 大环配体-树枝状聚酰胺
NOTA-PNIPAAm 大环配体-聚N-异丙基丙烯酰胺
NOTA-PtBA 大环配体-聚丙烯酸叔丁酯
NOTA-PMMA 大环配体-聚甲基丙烯酸甲酯
NOTA-P4VP 大环配体-聚4-乙烯基吡啶
NOTA-P2VP 大环配体-聚2-乙烯基吡啶
NOTA-PPS 大环配体-聚苯硫醚
NOTA-PBA 大环配体-苯硼酸
厂家:西安齐岳生物科技有限公司
储存时间:1年
保存:冷藏
温馨提醒:仅供科研,不能用于人体实验




齐岳微信公众号
官方微信
库存查询