顺铂-二油酰基磷脂酰乙醇胺 CDDP-DOPE CDDP-PEG2000-DOPE
发布时间:2023-02-06     作者:axc   分享到:
中文名称:顺铂-二油酰基磷脂酰乙醇胺
英文名称:CDDP-DOPE
纯度:95%+
存储条件:-20°C,避光,避湿
外观:固体或粘性液体,取决于分子量
PEG分子量可选:350、550、750、1k、2k、34k、5k
包装:瓶装/袋装
溶解性:溶于大部分有机溶剂,如:DCM、DMF、DMSO、THF等等。在水中有很好的溶解性
注意事项:取用一定要干燥,避免频繁的溶解和冻干
地址:西安
厂家:西安齐岳生物
西安齐岳生物还可以提供PEG接枝修饰顺铂,顺铂-聚乙二醇-二油酰基磷脂酰乙醇胺,DOPE-PEG-CDDP,二油酰基磷脂酰乙醇胺-PEG-顺铂
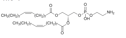
二油酰基磷脂酰乙醇胺DOPE结构式

相关产品:
CDDP-PEG-N3 顺铂-聚乙二醇-叠氮
CDDP-PEG-Alkyne 顺铂-聚乙二醇-炔基
CDDP-PEG-SH 顺铂-聚乙二醇-巯基
CDDP-PEG-Biotin 顺铂-聚乙二醇-生物素
CDDP-PEG-CHO 顺铂-聚乙二醇-醛基
CDDP-PEG-OPSS 顺铂-聚乙二醇-巯基吡啶
厂家:西安齐岳生物科技有限公司
以上资料来自小编axc,2023.02.06
以上文中提到的产品仅用于科研,不能用于人体。




齐岳微信公众号
官方微信
库存查询