喜树碱-聚乙二醇-透明质酸 CPT-PEG-HA 喜树碱-透明质酸 CPT-Hyaluronic acid
发布时间:2023-02-07     作者:axc   分享到:
喜树碱-聚乙二醇-透明质酸 CPT-PEG-HA 喜树碱-透明质酸 CPT-Hyaluronic acid
中文名称:喜树碱-聚乙二醇-透明质酸
英文名称:CPT-PEG-HA
纯度:95%+
存储条件:-20°C,避光,避湿
外观:固体或粘性液体,取决于分子量
PEG分子量可选:350、550、750、1k、2k、34k、5k
包装:瓶装/袋装
溶解性:溶于大部分有机溶剂,如:DCM、DMF、DMSO、THF等等。在水中有很好的溶解性
注意事项:取用一定要干燥,避免频繁的溶解和冻干
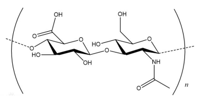
透明质酸,又称玻尿酸,分子式是(C14H21NO11)n,是D-喜树碱醛酸及N-乙酰葡糖胺组成的双糖单位糖胺聚糖。西安齐岳生物还可以提供PEG接枝修饰喜树碱,喜树碱-聚乙二醇-透明质酸,Hyaluronicacid-PEG-CPT,透明质酸-PEG-喜树碱

地址:西安
厂家:西安齐岳生物科技有限公司
用途:科研
状态:固体/粉末/溶液
产地:西安
储存时间:1年
保存:冷藏
储藏条件:-20℃
相关产品:
CPT- 喜树碱-3-(2-吡啶二硫代)丙酸N-羟基琥珀酰亚胺酯
CPT- 喜树碱-四氮杂环十二烷四乙酸
CPT- 喜树碱-大环配体NOTA
CPT- 喜树碱-二乙基三胺五乙酸
CPT-Tretinoin 喜树碱-维甲酸
CPT-Niacin 喜树碱-烟酸
CPT-Isothiocyanate 喜树碱-异硫氰酸盐
CPT-Isocyanate 喜树碱-异氰酸酯
以上资料来自小编axc,2023.02.07
以上文中提到的产品仅用于科研,不能用于人体。




齐岳微信公众号
官方微信
库存查询