【产品名称】
Biotin-TK-NH2 生物素-酮缩硫醇-氨基 NH2-TK-Biotin
【产品详情】
溶解性:溶于大多数有机溶剂。
稳定性:在-20°C下干燥12个月。
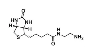
生物素(biotin,B)广泛分布于动、植物组织中,常从含量较高的卵黄和肝组织中提取,分子量244.31Da.生物素分子有两个环状结构,其中Ⅰ环为咪唑酮环,是与亲和素结合的主要部位;II环为噻吩环,C2上有一戊酸侧链,其末端羧基是结合抗体和其他生物大分子的**结构,经化学修饰后,生物素可成为带有多种活性基团的衍生物——活化生物素。活化生物素可以在蛋白交联剂的介导下,与已知的几乎所有生物大分子偶联,包括蛋白质,核酸,多糖,脂类等。

【处理和使用】
对光和温度敏感,为了获得更佳使用效果,材料应始终在干燥条件下保持低温,避免经常解冻和冻结
为确保产品的稳定性,请注意在恒温干燥以后才能打开包装取用!
我公司可以提供各种高分子PEG衍生物,分子量从1000-20000不等,涉及甲氧基PEG|氨基PEG|羧基PEG|巯基PEG|叠氮PEG|八臂PEG|四臂PEG|活性酯PEG|叶酸PEG|生物素PEG|马来酰亚胺PEG|荧光素PEG|罗丹明PEG|丙烯酸酯PEG|磷脂PEG|琥珀酰亚胺PEG|炔基PEG|羟基PEG|叶酸PEG|硅烷PEG等基团,同时我公司新推出了单分散的小分子量PEG/PEO衍生物,PEG/PEO的重复单元从2个-24个不等。
厂商:西安齐岳生物科技有限公司
温馨提示:仅用于科学研究
相关产品:
8Arm PEG-Methotrexate
八臂聚乙二醇甲基丙烯酸酯
8Arm PEG-Methacrylate
8Arm PEG-MA
八臂聚乙二醇聚丙烯酸
8Arm PEG-PAA
八臂聚乙二醇聚己内酯
8Arm PEG-PCL




齐岳微信公众号
官方微信
库存查询