英文名 Maleimide-DOTA
CAS号 1006711-90-5
分子量 526.54
分子式 C22H34N6O9
熔点 N/A

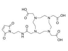
结构与组成
DOTA-amide-mono-Maleimido 是一种结合了1,4,7,10-四氮杂环十二烷-1,4,7,10-四乙酸(DOTA)、酰胺基团(Amide)和马来酰亚胺(Maleimide)的化合物。DOTA 是一种常用的螯合剂,能够与金属离子(如钆离子)形成稳定的配合物,广泛用于磁共振成像(MRI)对比剂。马来酰亚胺是一种具有高反应活性的芳香族化合物,能够与巯基(-SH)快速反应生成稳定的产物。
合成与制备
DOTA-amide-mono-Maleimido 的合成通常通过多步反应实现。首先,DOTA 通过酰胺化反应连接到酰胺基团上,形成中间体 DOTA-amide。接着,通过偶联反应将马来酰亚胺基团引入到酰胺基团的末端。整个合成过程需要精确控制反应条件,以确保产物的纯度和产率。
应用领域
DOTA-amide-mono-Maleimido 在生物医学领域具有重要应用。其主要用途是作为 MRI 对比剂的前体。通过与金属离子(如钆离子)形成稳定的配合物,该化合物能够显著增强 MRI 成像的对比度。此外,马来酰亚胺的存在使其能够与蛋白质上的巯基快速反应,用于蛋白质的标记和功能化。在中,该化合物可用于制备具有生物相容性的聚合物材料,用于组织工程和药物释放系统。
相关产品:
Poly(L-Glutamic acid)-PEG-SH
Poly(L-Glutamic acid)-PEG-N3
Poly(L-Glutamic acid)-PEG-NHS
Poly(L-Glutamic acid)-PEG-MAL
Poly(L-Glutamic acid)-PEG-COOH
Poly(L-Glutamic acid)-PEG-Poly(L-Glutamic acid)
Poly(L-lysine)-PEG-Folic acid
Poly(L-lysine)-PEG-SH




齐岳微信公众号
官方微信
库存查询