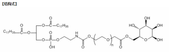
环丙沙星-聚乙二醇-二硬脂酰基磷脂酰乙醇胺 Ciprofloxacin-PEG-DSPE 环丙沙星-PEG-磷脂
发布时间:2023-02-10     作者:axc   分享到:
环丙沙星-聚乙二醇-二硬脂酰基磷脂酰乙醇胺 Ciprofloxacin-PEG-DSPE 环丙沙星-PEG-磷脂
中文名称:环丙沙星-聚乙二醇-二硬脂酰基磷脂酰乙醇胺
英文名称:Ciprofloxacin-PEG-DSPE
纯度:95%+
存储条件:-20°C,避光,避湿
外观:固体或粘性液体,取决于分子量
PEG分子量可选:350、550、750、1k、2k、34k、5k
包装:瓶装/袋装
溶解性:溶于大部分有机溶剂,如:DCM、DMF、DMSO、THF等等。在水中有很好的溶解性
注意事项:取用一定要干燥,避免频繁的溶解和冻干
用途:科研
储存时间:1年
地址:西安
厂家:西安齐岳生物科技有限公司
西安齐岳生物还可以提供PEG接枝修饰环丙沙星,环丙沙星-聚乙二醇-二硬脂酰基磷脂酰乙醇胺,DSPE-PEG-Ciprofloxacin,二硬脂酰基磷脂酰乙醇胺-PEG-环丙沙星
二硬脂酰基磷脂酰乙醇胺DSPE的结构式

相关产品:
环丙沙星-聚乳酸-羟基乙酸共聚物 Ciprofloxacin-PLGA
环丙沙星-聚N-异丙基丙烯酰胺 Ciprofloxacin-PNIPAAm
环丙沙星-聚丙烯酸叔丁酯 Ciprofloxacin-PtBA
环丙沙星-聚甲基丙烯酸甲酯 Ciprofloxacin-PMMA
环丙沙星-聚4-乙烯基吡啶 Ciprofloxacin-P4VP
环丙沙星-聚2-乙烯基吡啶 Ciprofloxacin-P2VP
环丙沙星-聚苯硫醚 Ciprofloxacin-PPS
环丙沙星-苯硼酸 Ciprofloxacin-PBA
以上资料来自小编axc,2023.02.08
以上文中提到的产品仅用于科研,不能用于人体




齐岳微信公众号
官方微信
库存查询