环丙沙星-聚乙二醇-二油酰基磷脂酰乙醇胺 Ciprofloxacin-PEG-DOPE 环丙沙星-PEG-DOPE
发布时间:2023-02-10     作者:axc   分享到:
环丙沙星-聚乙二醇-二油酰基磷脂酰乙醇胺 Ciprofloxacin-PEG-DOPE 环丙沙星-PEG-DOPE
中文名称:环丙沙星-聚乙二醇-二油酰基磷脂酰乙醇胺
英文名称: Ciprofloxacin-PEG-DOPE
纯度:95%+
存储条件:-20°C,避光,避湿
外观:固体或粘性液体,取决于分子量
PEG分子量可选:350、550、750、1k、2k、34k、5k
包装:瓶装/袋装
溶解性:溶于大部分有机溶剂,如:DCM、DMF、DMSO、THF等等。在水中有很好的溶解性
注意事项:取用一定要干燥,避免频繁的溶解和冻干
用途:科研
储存时间:1年
地址:西安
厂家:西安齐岳生物科技有限公司
西安齐岳生物还可以提供PEG接枝修饰环丙沙星,环丙沙星-聚乙二醇-二油酰基磷脂酰乙醇胺,DOPE-PEG-Ciprofloxacin,二油酰基磷脂酰乙醇胺-PEG-环丙沙星
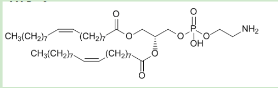
二油酰基磷脂酰乙醇胺DOPE结构式

相关产品:
环丙沙星-肝素 Ciprofloxacin-Heparin
环丙沙星-刀豆球蛋白A Ciprofloxacin-Concanavalin
环丙沙星-过氧化氢酶 Ciprofloxacin-Catalase
环丙沙星-络蛋白 Ciprofloxacin-Casein
环丙沙星-卵清蛋白 Ciprofloxacin-Ovalbumin
以上资料来自小编axc,2023.02.08
以上文中提到的产品仅用于科研,不能用于人体




齐岳微信公众号
官方微信
库存查询