甲硝唑-聚乙二醇-二油酰基磷脂酰乙醇胺 Metronidazole-PEG-DOPE DOPE-PEG-甲硝唑
发布时间:2023-02-14     作者:axc   分享到:
甲硝唑-聚乙二醇-二油酰基磷脂酰乙醇胺 Metronidazole-PEG-DOPE DOPE-PEG-甲硝唑
中文名称:甲硝唑-聚乙二醇-二油酰基磷脂酰乙醇胺
英文名称:Metronidazole-PEG-DOPE
纯度:95%+
存储条件:-20°C,避光,避湿
外观:固体或粘性液体,取决于分子量
PEG分子量可选:350、550、750、1k、2k、34k、5k
包装:瓶装/袋装
溶解性:溶于大部分有机溶剂,如:DCM、DMF、DMSO、THF等等。在水中有很好的溶解性
注意事项:取用一定要干燥,避免频繁的溶解和冻干
用途:科研
储存时间:1年
地址:西安
厂家:西安齐岳生物科技有限公司
西安齐岳生物还可以提供PEG接枝修饰甲硝唑,甲硝唑-聚乙二醇-二油酰基磷脂酰乙醇胺,DOPE-PEG-Metronidazole,二油酰基磷脂酰乙醇胺-PEG-甲硝唑
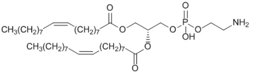
二油酰基磷脂酰乙醇胺DOPE结构式

相关产品:
维甲酸功能化环丙沙星 Tretinoin-Ciprofloxacin
烟酸改性环丙沙星 Niacin-Ciprofloxacin
异硫氰酸盐偶联环丙沙星 Isothiocyanate-Ciprofloxacin
异氰酸酯修饰环丙沙星 Isocyanate-Ciprofloxacin
丹磺酰氯功能化环丙沙星 Dansyl-Ciprofloxacin
氰尿酸改性环丙沙星 Cyanur-Ciprofloxacin
以上资料来自小编axc,2023.02.13
以上文中提到的产品仅用于科研,不能用于人体。




齐岳微信公众号
官方微信
库存查询