英文名 NH-(PEG2-acid)2
CAS号 1919044-99-7
分子量 337.37
分子式 C14H27NO8

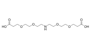
结构描述:NH-(PEG₂-acid)₂是一种含有两个PEG链的化合物,每个PEG链包含2个重复的乙二醇单元(-CH₂CH₂O-)。PEG链的末端分别连接了一个羧酸基团(-COOH),而两个PEG链的另一端通过一个氨基(-NH₂)连接在一起。这种结构使得NH-(PEG₂-acid)₂具有两个反应活性较高的羧酸基团,可用于与其他分子(如胺类)的偶联反应。
应用领域:NH-(PEG₂-acid)₂主要用于生物化学和中的分子修饰和连接。由于其含有两个羧酸基团,可以通过酰胺键形成反应与胺类分子(如蛋白质、肽等)进行偶联,从而实现PEG链的连接。
这种修饰可以提高生物分子的水溶性、稳定性和生物相容性,同时减少免疫原性。例如,在蛋白质工程中,NH-(PEG₂-acid)₂可以用于修饰酶类,提高酶的稳定性和催化效率。此外,它还可用于制备PEG化的纳米材料,通过羧酸基团与纳米材料表面的胺基进行偶联,实现PEG链的修饰,提高纳米材料的生物相容性和稳定性。
相关产品:
5336-90-3 9-ACRIDINECARBOXYLIC ACID
1807503-90-7 Ald-Ph-PEG2-NH-Boc
CAS:1260586-88-6 (Biotin-C5-Azide)
1807505-35-6 m-PEG5-sulfonic acid
Pyrene-PEG-DBCO是活性荧光芘染料 芘甲酰胺PEG二苯并环辛炔
2112731-49-2 N-(Biotin-PEG4)-N-bis(PEG4-acid) HCl
1217838-20-4 MTS-PEG3-Biotin




齐岳微信公众号
官方微信
库存查询