DSPE-PEG-NH2的分子量是多少?(含结构式高清图)
DSPE-PEG2000-NH2
性状:白色粉末
DSPE-PEG-NH₂ 的结构式与分子量分析
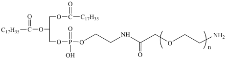
DSPE-PEG-NH₂(1,2-Distearoyl-sn-glycero-3-phosphoethanolamine-N-[amino(polyethylene glycol)]) 是一种典型的两亲性磷脂聚合物,由疏水脂质部分和亲水的聚乙二醇链段构成。其结构具有独特的分子设计,在药物递送、纳米载体构建、靶向修饰中广泛应用。
一、分子结构构成
1. 疏水脂质部分:DSPE
DSPE 是 1,2-二硬脂酰-sn-甘油-3-磷酸乙醇胺(Distearoyl Phosphatidylethanolamine),含有两个 C18 长链饱和脂肪酸(硬脂酸);分子中含有甘油骨架和一个磷酸酯连接的乙醇胺基团。
2. 亲水 PEG 部分:PEG-NH₂
PEG 是聚乙二醇(-CH₂CH₂O-)ₙ,通常为单链线性结构;
末端修饰有伯胺(-NH₂)功能基团,便于偶联靶向分子(如叶酸、抗体、荧光分子等);
PEG链段通过胺键或酰胺键连接至 DSPE 的乙醇胺基团上。
二、结构式(简化表示)

上式为简化示意结构,真实结构中包含:
两个脂肪酸(硬脂酸)酯化于甘油骨架;
磷酸连接乙醇胺,再接 PEG-NH₂;
PEG 部分可根据不同产品定制长度(例如 PEG2000、PEG3400、PEG5000 等)。

三、分子量计算(以 PEG2000 为例)
以下为常用 PEG 分子量的估算方式:
DSPE(C41H82NO8P)分子量约为:748.1 g/mol;
PEG2000 为约 44 个 -CH₂CH₂O- 单元,每单位 44 Da,总计:44 × 44 = 1936 Da;
末端胺基(-CH₂CH₂-NH₂)额外约增加 44 Da。
总分子量 ≈ 748.1 + 1936 + 44 = 2728 Da
因此,DSPE-PEG2000-NH₂ 的理论分子量约为 2700–2800 Da(不同厂家有微小差异,可能包含部分分布)。
对于其他 PEG长度的版本:
PEG分子量 | 估算总分子量(DSPE-PEG-NH₂) |
PEG1000 | ~1800 Da |
PEG2000 | ~2700 Da |
PEG3400 | ~4000 Da |
PEG5000 | ~5700 Da |
四、总结
DSPE-PEG-NH₂ 是一种两亲性接枝分子,由 DSPE 提供膜锚定能力,PEG 提供水溶性与生物相容性,而末端 NH₂ 提供偶联活性。其分子量可调,结构稳定,在脂质体修饰、聚合物载药系统和靶向功能化等领域应用广泛。




齐岳微信公众号
官方微信
库存查询