产品描述:Sulfo-Cy5 NHS ester和Sulfo-Cyanine5 NHS ester是一种水溶性的Cy活性荧光染料,NHS可以和蛋白或分子中的NH2发生反应连接
英文名:Sulfo-Cyanine5 NHS ester
SF Cy5@SE
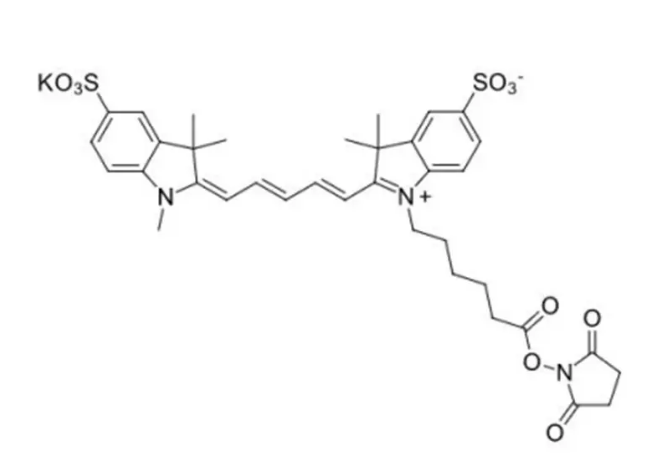
中文名:磺酸基-Cy5-N-羟基琥珀酰亚胺酯
CAS:2230212-27-6; 146368-14-1
性 状:深蓝粉末
分子量:777.95
分子式:C36H40N3KO10S2
激发和发射波长:646nm-660nm
溶解性:在水中很好,在DMF和DMSO中都很好。
质量控制:纯度>95%
储存条件:在-20°C中24个月
运 输:室温下长达3周。避免长时间接触光线。变干。
结构式:

相关产品:
CY5-COOH
CY5-NHS ester
CY5-amine
CY5-azide
CY5-alkyne
CY5-hydrazide
CY5-maleimide
CY5-Thiol
Sulfo-CY5-carboxylic acid
Sulfo-CY5-NHS ester
Sulfo-CY5-amine
Sulfo-CY5-azide
Sulfo-CY5-alkyne
Sulfo-CY5maleimide
Sulfo-CY5-hydrazide
Sulfo-CY5-Thiol
CY5.5-carboxylic acid
CY5.5-NHS ester
CY5.5-amine
CY5.5-azide
CY5.5-alkyne
CY5.5-maleimide
CY5.5-hydrazide
CY5.5-Thiol
Sulfo-CY5.5-COOH
Sulfo-CY5.5-NHS ester
西安齐岳生物科技有限公司经营的产品种类包括有:合成磷脂、高分子聚乙二醇衍生物、嵌段共聚物、磁性纳米颗粒、纳米金及纳米金棒、近红外荧光染料、活性荧光染料、物、蛋白交联剂、小分子PEG衍生物、点计化学产品、树枝状聚合物、环糊精衍生物、大环配体类、荧光量子点、透明质酸衍生物、石墨烯或氧化石墨烯、碳纳米管、富勒烯,二氧化硅及介孔二氧化硅,聚合物微球,近红外荧光染料,聚苯乙烯微球,上转换纳米发光颗粒,MRI核磁造影产品,荧光蛋白及荧光探针等等。




齐岳微信公众号
官方微信
库存查询