1001015-18-4,CORM-401可用于inflammation和氧化应激介导的病理学研究
发布时间:2023-02-20     作者:zhn   分享到:
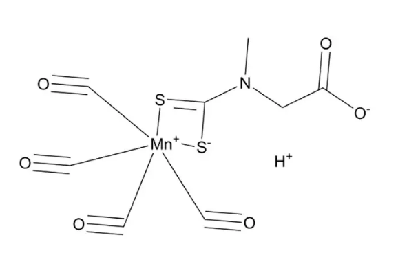
英文名称:CORM-401
CAS:1001015-18-4
分子量:331.20
分子式:C8H6MnNO6S2
保存:避光,干燥,-20℃
结构式:

纯度:95%
产品规格:5mg/10mg/25mg
用途:应用于生物科技,诊断学和一些化工***领域。
产品特性:CORM-401 是一种对氧化剂敏感的 CO 释放分子,可用于inflammation和氧化应激介导的病理学研究。
相关产品:
Bodipy530/548 174881-57-3
Bodipy530/550 无
Bodipy545/570 无
Bodipy530/550 187089-10-7
Bodipy545/570 无
Bodipy560/585 无
Bodipy550/580 无




齐岳微信公众号
官方微信
库存查询