西安齐岳生物科技有限公司用于标记的荧光染料主要有:IR系列,CY系列菁染料,ICG系列染料,Bodipy系列染料,香豆素及双光子香豆素系列染料,TO噻唑橙系列染料,PH敏感型荧光染料,FITC,罗丹明,上转换纳米颗粒等。 其中,近红外区域吲哚花菁素IR系列染料有机染料有IR-783、IR-806、IR-808、IR-820、IR-820、IR-825等。
七甲川花菁类化合物是一类两端氮杂环中间含有多个次甲基长共轭链的花菁小分子,其具有摩尔吸光系数大、荧光产率高、稳定性好等优点,作为近红外荧光探针,已经被***应用于蛋白与核酸标记、基因测序、动物活体成像以及临床造影等。其中,代表性分子吲哚菁绿(ICG)
产品一、英文名称:IR-780 iodide
中文名称:IR-780碘化物
化学名:2-[2-[2-Chloro-3-[(1,3-dihydro-3,3-dimethyl-1-propyl-2H-indol-2-ylidene)ethylidene]-1-cyclohexen-1-yl]ethenyl]-3,3-dimethyl-1-propylindolium iodide
分子式:C36H44ClIN2
分子量:667.11
CAS:207399-07-3
结构式:

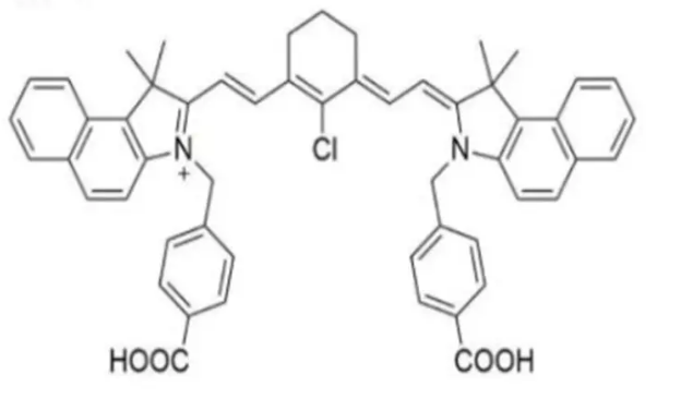
产品二、英文名称:IR-808,MHI-148,MHI148
化学名:1-(5-Carboxypentyl)-2-[2-[3-[[1-(5-carboxypentyl)-1,3-dihydro-3,3-dimethyl-2H-indol-2-ylidene]ethylidene]-2-chloro-1-cyclohexen-1-yl]ethenyl]-3,3-dimethyl-3H-indolium bromide
中文名称:1-(5-羧基戊基)-2-[2-[3-[[1-(5-羧基戊基)-1,3-二氢-3,3-二甲基-2H-吲哚-2-亚基]亚乙基]-2-氯-1-环己烯-1-基]乙烯基]-3,3-二甲基-3H-吲哚溴化物
分子式:C42H52ClN2O4.Br
分子量:764.243
结构式:
IR-808
IR-808的吸收和发射波长均在700-900nm近红外光谱区,具有近红外显影特性和良好的血清稳定性。体内实验表明,IR-808在rTDMCs、HeLa及LCC三种**细胞动物荷瘤模型中均显示出较好的**靶向性,提示其用于**特异性显影与诊断具有潜在应用前景。研究结果表明,IR-808不仅保留了良好的**靶向近红外荧光显影特性,同时还引入了两个可供化学连接反应的羧基官能团,为进一步化学修饰、***连接,或放射性核素标记等奠定了基础;为获得同时具有**靶向显影与***作用的多功能分子,或经放射性核素等标记后用于深部组织**成像与诊断提供了可能性。
产品三、英文名称:IR-825,IR825
CAS号:1558079-49-4
分子式:C54H48BrClN2O4
分子量:904.32692
结构式:

1558079-49-4
IR-825是一种近红外染料(NIR)。IR-825在封装成纳米颗粒后,可能用于癌症光热和光动力。IR-825纳米颗粒显示出pH依赖性荧光发射和***近红外(NIR)辐射,以提供体外靶向癌细胞的细胞毒性。IR-825纳米颗粒显示出*****归巢和快速的肾脏排泄行为,如MR成像所示,并经生物分布测量所证实。值得注意的是,当用808nm激光照射时,注射IR-825纳米颗粒的小鼠**在60天内完全消除,无复发,证明了光热疗法的**性。
西安齐岳生物科技有限公司经营的产品种类包括有:合成磷脂、高分子聚乙二醇衍生物、嵌段共聚物、磁性纳米颗粒、纳米金及纳米金棒、近红外荧光染料、活性荧光染料、物、蛋白交联剂、小分子PEG衍生物、点计化学产品、树枝状聚合物、环糊精衍生物、大环配体类、荧光量子点、透明质酸衍生物、石墨烯或氧化石墨烯、碳纳米管、富勒烯,二氧化硅及介孔二氧化硅,聚合物微球,近红外荧光染料,聚苯乙烯微球,上转换纳米发光颗粒,MRI核磁造影产品,荧光蛋白及荧光探针等等。
购买须知:
单位:瓶
规格:5mg起订
产地:西安
保质期:12个月
储存条件:-20°C干燥避光保存
如有其他信息或产品信息咨询我们。
温馨提示:供应产品仅用于科研,不能用于人体!
小编zhn2023.02.21




齐岳微信公众号
官方微信
库存查询