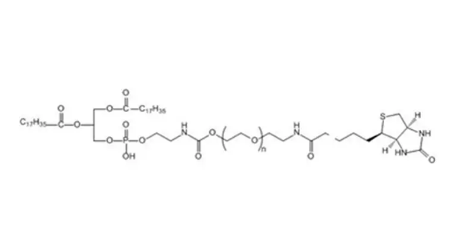
英文名:Biotin-PEG-DSPE
DSPE-PEG-Biotin
DSPE-PEG-BIO
描述:
DSPE-PEG-Biotin是一种具有生物素和DSPE磷脂的功能性磷脂PEG衍生物。DSPE(1,2-二硬脂酰-sn-甘油-3-磷酸乙醇胺)是一种具有高度疏水性的18碳磷脂。另一方面,PEG主链具有良好的亲水性和水溶性。生物素是一种常用的生物活性分子,对亲和素或链霉亲和素具有很高的结合亲和力。生物素/链霉亲和素系统被***应用于蛋白质、核酸等生物分子的检测和纯化。生物素修饰的DSPE-PEG可与脂质体等纳米粒子结合,可用于亲和素或链霉亲和素结合底物的靶向检测。
中文名:二硬脂酰磷脂酰乙醇胺-聚乙二醇-生物素
生物素聚乙二醇磷脂
磷脂聚乙二醇生物素
磷脂PEG生物素
生物素聚乙二醇磷脂
英文化学名:1,2-distearoyl-sn-glycero-3-phosphoethanolamine-N-[biotin(polyethylene glycol)]
CAS:385437-57-0
分子式:C142H280N5O56PS
分子量:1K,2K,3K,5K,10K
纯度:95%

Biotin-PEG-DSPE,385437-57-0
敏感性:对光敏感
溶解性:易溶于普通水溶液和大多数有机溶剂
储存温度:-20°C储存
运输条件:超低温冰袋运输
其他相关:
PEG-DSPE 甲氧基PEG-N-二硬脂酰磷脂酰乙酰胺 mPEG-DSPE 1K、2K、4K、5K、10K、20K
DSPE-PEG-DSPE 双二硬脂酰磷脂酰乙酰胺PEG DSPE-PEG-DSPE 1K、2K、3.4K、5K、10K、20K
4-arm-PEG-DSPE 四臂PEG-N-二硬脂酰磷脂酰乙酰胺 4-arm-PEG-DSPE 2K、5K、10K、20K
8-arm-PEG-DSPE 八臂PEG-N-二硬脂酰磷脂酰乙酰胺 8-arm-PEG-DSPE 10K、20K、40K
DSPE-PEG-NH2 N-二硬脂酰磷脂酰乙酰胺PEG氨基 DSPE PEG Amine, DSPE-PEG-NH2 1K、2K、3.4K、5K、10K、20K
DSPE-PEG-SH N-二硬脂酰磷脂酰乙酰胺PEG巯基 DSPE PEG Thiol, DSPE-PEG-SH 1K、2K、3.4K、5K、10K、20K
DSPE-PEG-COOH N-二硬脂酰磷脂酰乙酰胺PEG羧基 DSPE PEG Acid, DSPE-PEG-COOH 1K、2K、3.4K、5K、10K、20K
DSPE-PEG-MAL N二硬脂酰磷脂酰乙酰胺PEG马来酰亚胺 DSPE-PEG-MAL,DSPE-PEG-Maleimide 1K、2K、3.4K、5K、10K、20K
DSPE-PEG-NHS N-二硬脂酰磷脂酰乙酰胺PEG活性酯 DSPE-PEG-NHS 1K、2K、3.4K、5K、10K、20K 作者:**生物 https://www.bilibili.com/read/cv15548963?spm_id_from=333.999.0.0 出处:bilibili




齐岳微信公众号
官方微信
库存查询