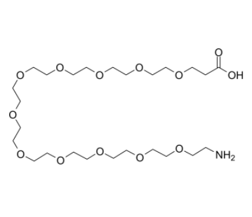
Amino PEG11 COOH 是一种含有氨基(-NH2)和羧基(-COOH)的聚乙二醇(PEG)衍生物,PEG链长度为11个乙二醇单元。这种化合物结合了PEG的优良特性以及氨基和羧基的多功能性,使其在生物医学和领域具有广泛的应用潜力。
PEG是一种具有良好水溶性、生物相容性和低免疫原性的聚合物,广泛应用于药物递送、生物传感器和组织工程等领域。PEG链的存在使得Amino PEG11 COOH在水溶液中具有优异的溶解性,同时能够减少蛋白质吸附和细胞黏附,从而延长药物在体内的循环时间。
氨基和羧基是该化合物的两个关键官能团。氨基具有较高的反应活性,可以与羧酸、醛、酮等发生缩合或加成反应,常用于与生物分子(如蛋白质、多肽)的偶联。羧基则可以通过酯化、酰胺化等反应与其他分子连接,例如与药物分子或物结合。这种双重反应性使得Amino PEG11 COOH可以用于构建多功能的生物材料或药物递送系统。
在生物医学领域,Amino PEG11 COOH可用于开发靶向药物递送系统。通过氨基与靶向配体(如抗体片段或肽)的偶联,以及羧基与药物分子的连接,可以实现药物的靶向释放和控释。此外,它也可以用于制备生物传感器,通过氨基与生物分子的结合实现对生物分子的检测。

英文名 Amino-PEG11-acid
CAS号 1616426-12-0
分子量 573.67
密度 N/A
沸点 N/A
分子式 C25H51NO13
熔点 N/A
相关产品:
949147-44-8 p-SCN-Bn-PCTA
146292-90-2 6-azidohexan-1-ol 6-叠氮基-1-己醇
2170240-97-6 APN-C3-biotin
磷脂-聚乙二醇-醛基 DSPE-PEG-Aldehyde DSPE-PEG-CHO
Cyanine7 maleimide(CAS2120392-49-4) 花青素Cy7马来酰亚胺
1446282-41-2 Bromo-PEG5-phosphonic acid diethyl ester
甲基-四嗪-Cy7 Me-tetrazine-Cyanine7荧光染料化合物
mPEG-Carbonylacrylic 甲氧基-聚乙二醇-羰基丙烯酸
2055024-45-6 Azide-PEG3-Sulfone-PEG3-azide




齐岳微信公众号
官方微信
库存查询