DTPA-2Na3APTSPP 大环配体-水溶性卟啉化合物
发布时间:2023-02-23  作者:zyl  分享到:
中文名称:大环化合物修饰卟啉/双酰胺胆固醇
英文名称:DTPA-2Na3APTSPP/DTPA-chol2
颜色:/
纯度:95%+
储存:-20℃
用途:科研

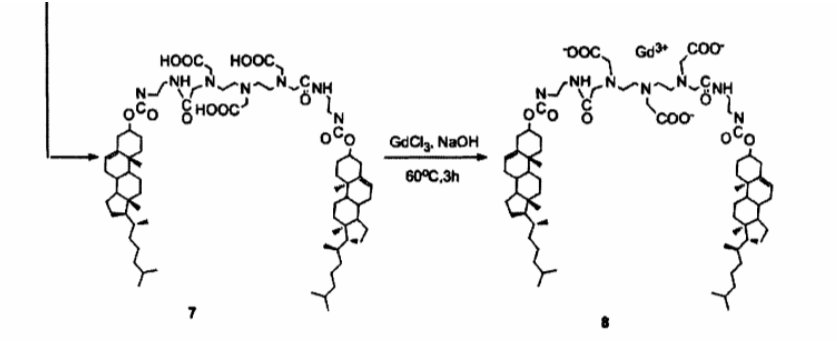
为了利用HDL参与胆固醇逆向转运的特性,我们在胆固醇的3’位置上连接乙二胺,并且利用二乙烯三胺五乙酸(DTPA)双酸酐的胺解反应将乙二胺-胆固醇连接到DTPA 上,利用硅胶分离纯化出两种化合物:DTPA单酰胺(DTPA-chol)和DTPA双酰胺产物(DTPA-(chol)2)。将两种产物分别与钊离子进行整合,得到连接胆固醇基团的 Gd-DTPA衍生物Gd-DTPA-chol和 Gd-DTPA-(chol)2,使用核磁、高分辨质谱等方法对化合物进行了确认。我们计算出两种饥螯合物的纯度大于99.5%。
相关产品:
Dy(III)-DTPA-BMA
DTPA-多甘醇-磷酸酯
APTSPP-Dextran-DTPA-Gd 卟啉基-葡聚糖-金属大环配体
DTPA-FeⅢ-H2O2 大环配体-铁-
DTPA-PA 大环配体-二丙胺
EOB-DTPA 乙氧苄基衍生物
DTPA-EOEA 大环配体-二氨基乙基乙二醇醚
DTPA-Gd-EOEA 钆大环配体-二氨基乙基乙二醇醚
SuO-DTPA-PM 单N-羟基琥珀酰亚胺活性酯-大环配体-吡哆胺
DTPA-吡哆醇
厂家:西安齐岳生物科技有限公司
储存时间:1年
保存:冷藏
温馨提醒:仅供科研,不能用于人体实验




齐岳微信公众号
官方微信
库存查询